Suppr超能文献

作为细胞周期蛋白G相关激酶潜在抑制剂的3,7-二取代异噻唑并[4,3 - ]吡啶的合成

Synthesis of a 3,7-Disubstituted Isothiazolo[4,3-]pyridine as a Potential Inhibitor of Cyclin G-Associated Kinase.

作者信息

Grisez Tom, Ravi Nitha Panikkassery, Froeyen Mathy, Schols Dominique, Van Meervelt Luc, De Jonghe Steven, Dehaen Wim

机构信息

Department of Chemistry, Sustainable Chemistry for Metals and Molecules, KU Leuven, Celestijnenlaan 200F, B-3001 Leuven, Belgium.

Laboratory of Medicinal Chemistry, Rega Institute for Medical Research, Department of Pharmaceutical and Pharmacological Sciences, KU Leuven, Herestraat 49, P.O. Box 1041, B-3000 Leuven, Belgium.

出版信息

Molecules. 2024 Feb 22;29(5):954. doi: 10.3390/molecules29050954.

Abstract

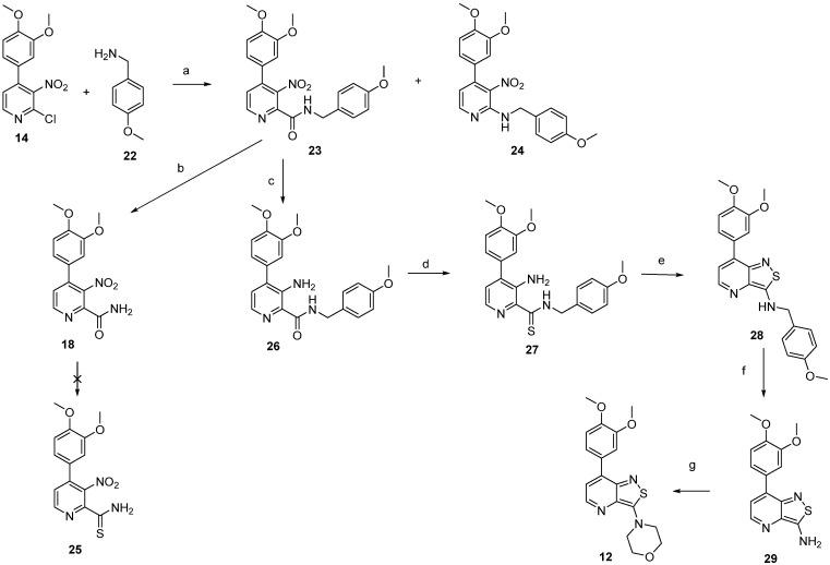
Disubstituted isothiazolo[4,3-]pyridines are known inhibitors of cyclin G-associated kinase. Since 3-substituted-7-aryl-isothiazolo[4,3-]pyridines remain elusive, a strategy was established to prepare this chemotype, starting from 2,4-dichloro-3-nitropyridine. Selective C-4 arylation using ligand-free Suzuki-Miyaura coupling and palladium-catalyzed aminocarbonylation functioned as key steps in the synthesis. The 3--morpholinyl-7-(3,4-dimethoxyphenyl)-isothiazolo[4,3-]pyridine was completely devoid of GAK affinity, in contrast to its 3,5- and 3,6-disubstituted congeners. Molecular modeling was applied to rationalize its inactivity as a GAK ligand.

摘要

二取代异噻唑并[4,3 - ]吡啶是已知的细胞周期蛋白G相关激酶抑制剂。由于3 - 取代 - 7 - 芳基 - 异噻唑并[4,3 - ]吡啶仍然难以获得,因此建立了一种从2,4 - 二氯 - 3 - 硝基吡啶开始制备这种化学类型的策略。使用无配体铃木 - 宫浦偶联和钯催化的氨甲酰化进行的选择性C - 4芳基化是合成中的关键步骤。与3,5 - 和3,6 - 二取代的同系物相比,3 - 吗啉基 - 7 - (3,4 - 二甲氧基苯基) - 异噻唑并[4,3 - ]吡啶完全没有GAK亲和力。应用分子模型来解释其作为GAK配体的无活性。

https://cdn.ncbi.nlm.nih.gov/pmc/blobs/b7cf/10934046/067a8a4d4f6d/molecules-29-00954-g001.jpg

文献AI研究员

20分钟写一篇综述,助力文献阅读效率提升50倍。

立即体验

用中文搜PubMed

大模型驱动的PubMed中文搜索引擎

马上搜索

文档翻译

学术文献翻译模型,支持多种主流文档格式。

立即体验