Vila-Candel Rafael, Soriano-Vidal Francisco Javier, Franco-Antonio Cristina, Garcia-Algar Oscar, Andreu-Fernandez Vicente, Mena-Tudela Desirée
Faculty of Health Sciences, Universidad Internecinal de Valencia (VIU), 46002 Valencia, Spain.
La Ribera Primary Health Department, 46600 Alzira, Spain.
Nutrients. 2024 Feb 28;16(5):690. doi: 10.3390/nu16050690.
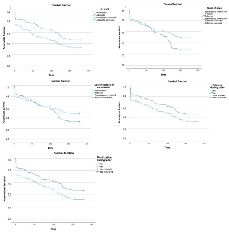
Numerous factors concerning early breastfeeding abandonment have been described, including health literacy (HL). This study's objective was to analyze factors related to early breastfeeding abandonment (<6 months). This prospective multicentric study examined the duration of breastfeeding at 6 months postpartum and was conducted in four different regions of Spain from January 2021 to January 2023. A total of 275 women participated in this study, which focused on maternal HL and obstetric practices. A decrease in the breastfeeding rate was observed from hospital discharge ( = 224, 81.5%) to the sixth month postpartum ( = 117, 42.5%). A Cox regression analysis revealed that inadequate HL levels, lack of mobilization during labour, and induced labour were significantly associated with early breastfeeding cessation ( = 0.022, = 0.019, and = 0.010, respectively). The results highlight that women with adequate HL had a 32% lower risk of early breastfeeding abandonment. In comparison, mobilization during labour and induction of labour were linked to a 32.4% reduction and a 53.8% increase in this risk, respectively. These findings emphasize the importance of considering obstetric and HL factors when addressing the breastfeeding duration, indicating opportunities for educational and perinatal care interventions.
关于早期母乳喂养中断的众多因素已被描述,包括健康素养(HL)。本研究的目的是分析与早期母乳喂养中断(<6个月)相关的因素。这项前瞻性多中心研究调查了产后6个月时的母乳喂养时长,于2021年1月至2023年1月在西班牙的四个不同地区进行。共有275名女性参与了本研究,其重点关注产妇的健康素养和产科实践。从出院时(n = 224,81.5%)到产后第六个月(n = 117,42.5%),观察到母乳喂养率有所下降。Cox回归分析显示,健康素养水平不足、分娩时缺乏活动以及引产与早期母乳喂养停止显著相关(分别为P = 0.022、P = 0.019和P = 0.010)。结果表明,健康素养充足的女性早期母乳喂养中断的风险降低32%。相比之下,分娩时的活动和引产分别使这种风险降低32.4%和增加53.8%。这些发现强调了在考虑母乳喂养时长时兼顾产科和健康素养因素的重要性,表明了教育和围产期护理干预的机会。