Suppr超能文献

各种生活方式与抑郁症之间的潜在因果关系:一项单变量和多变量孟德尔随机化研究。

The potential causal relationship between various lifestyles and depression: a univariable and multivariable Mendelian randomization study.

作者信息

Guo Shaobo, Zhu Wenhui, Yu Likai, Jie Lishi, Tian Di, Zhao Tianci, Zhao Biqing, Zhang Biao

机构信息

The Affiliated Hospital of Nanjing University of Chinese Medicine, Department of Geriatrics, Nanjing, China.

Key Laboratory for Metabolic Diseases in Chinese Medicine, First College of Clinical Medicine, Nanjing University of Chinese Medicine, Nanjing, China.

出版信息

Front Psychiatry. 2024 Feb 29;15:1343132. doi: 10.3389/fpsyt.2024.1343132. eCollection 2024.

Abstract

BACKGROUND

Previous studies have shown that lifestyle was associated with depression. Thus, the aim of this study was to examine the causality between multiple lifestyles and depression by Mendelian randomization (MR) analysis.

METHODS

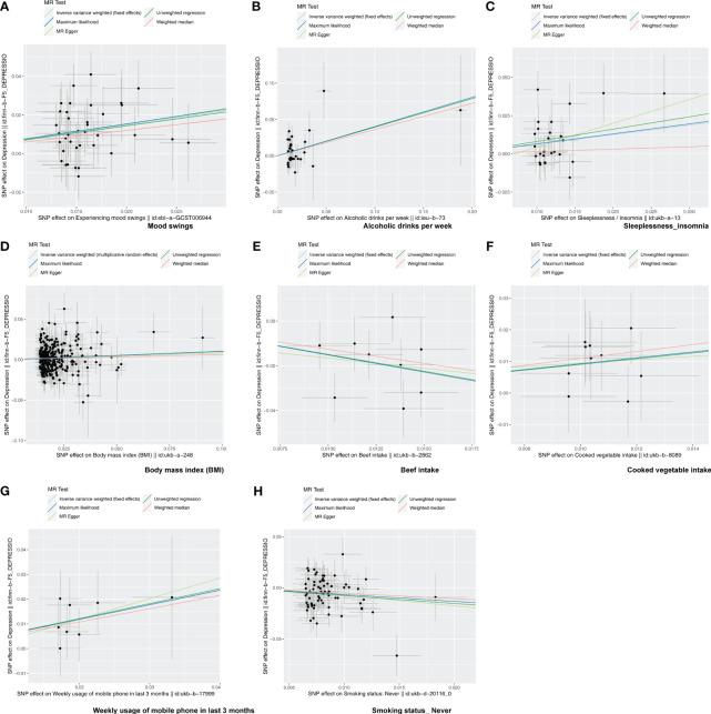
The single-nucleotide polymorphisms (SNPs) of depression, alcoholic drinks per week, sleeplessness or insomnia, body mass index (BMI), mood swings, weekly usage of mobile phone in the last 3 months, beef intake, cooked vegetable intake, and "smoking status: never" were acquired from the Integrative Epidemiology Unit Open genome-wide association study database. Causal effects of eight exposure factors and depression were investigated using MR-Egger, weighted median, inverse variance weighted (IVW), simple mode, and weighted mode, and results were primarily referred to IVW. Subsequently, univariable MR (UVMR) analysis was performed on eight exposure factors and depression, separately. In addition, sensitivity analysis, including heterogeneity test, horizontal pleiotropy, and leave-one-out (LOO) methods, was conducted to evaluate the stability of MR results. Furthermore, multivariable MR (MVMR) analysis was carried out.

RESULTS

UVMR analysis revealed that all eight exposure factors were causally associated with depression; alcoholic drinks per week, sleeplessness or insomnia, BMI, mood swings, weekly usage of mobile phone in the last 3 months, and cooked vegetable intake were risk factors, and beef intake and "smoking status: never" were protection factors. Heterogeneity tests revealed no heterogeneity for alcoholic drinks per week, sleeplessness or insomnia, mood swings, weekly usage of mobile phone in the last 3 months, and cooked vegetable intake. Meanwhile, there was no horizontal pleiotropy in UVMR, and LOO analysis verified that univariable analysis results were reliable. Moreover, MVMR analysis indicated that mood swings and weekly usage of mobile phone in the last 3 months were risk factors, and beef intake was a protection factor for depression when multiple factors occurred at the same time.

CONCLUSION

Alcoholic drinks per week, sleeplessness or insomnia, BMI, mood swings, weekly usage of mobile phone in the last 3 months, and cooked vegetable intake were risk factors, and beef intake and "smoking status: never" were protection factors. In addition, mood swings, weekly usage of mobile phone in the last 3 months, and beef intake had a direct effect on depression when multiple factors occurred simultaneously.

摘要

背景

既往研究表明生活方式与抑郁症有关。因此,本研究旨在通过孟德尔随机化(MR)分析探讨多种生活方式与抑郁症之间的因果关系。

方法

从综合流行病学单位开放全基因组关联研究数据库中获取抑郁症、每周饮酒量、失眠或睡眠不足、体重指数(BMI)、情绪波动、过去3个月每周手机使用量、牛肉摄入量、烹饪蔬菜摄入量以及“吸烟状况:从不”的单核苷酸多态性(SNP)。使用MR-Egger、加权中位数、逆方差加权(IVW)、简单模式和加权模式研究8个暴露因素与抑郁症之间的因果效应,结果主要参考IVW。随后,对8个暴露因素与抑郁症分别进行单变量MR(UVMR)分析。此外,进行敏感性分析,包括异质性检验、水平多效性和留一法(LOO),以评估MR结果的稳定性。此外,还进行了多变量MR(MVMR)分析。

结果

UVMR分析显示,所有8个暴露因素均与抑郁症存在因果关系;每周饮酒量、失眠或睡眠不足、BMI、情绪波动、过去3个月每周手机使用量和烹饪蔬菜摄入量是危险因素,牛肉摄入量和“吸烟状况:从不”是保护因素。异质性检验显示,每周饮酒量、失眠或睡眠不足、情绪波动、过去3个月每周手机使用量和烹饪蔬菜摄入量不存在异质性。同时,UVMR中不存在水平多效性,LOO分析验证单变量分析结果可靠。此外,MVMR分析表明,当多个因素同时出现时,情绪波动和过去3个月每周手机使用量是抑郁症的危险因素,牛肉摄入量是保护因素。

结论

每周饮酒量、失眠或睡眠不足、BMI、情绪波动、过去3个月每周手机使用量和烹饪蔬菜摄入量是危险因素,牛肉摄入量和“吸烟状况:从不”是保护因素。此外,当多个因素同时出现时,情绪波动、过去3个月每周手机使用量和牛肉摄入量对抑郁症有直接影响。

https://cdn.ncbi.nlm.nih.gov/pmc/blobs/dd23/10937522/94ff1e698303/fpsyt-15-1343132-g001.jpg

文献检索

告别复杂PubMed语法,用中文像聊天一样搜索,搜遍4000万医学文献。AI智能推荐,让科研检索更轻松。

立即免费搜索

文件翻译

保留排版,准确专业,支持PDF/Word/PPT等文件格式,支持 12+语言互译。

免费翻译文档

深度研究

AI帮你快速写综述,25分钟生成高质量综述,智能提取关键信息,辅助科研写作。

立即免费体验