Suppr超能文献

抗抑郁药与胶质瘤患者的生存——一项基于登记处的回顾性队列研究

Antidepressants and survival in glioma-A registry-based retrospective cohort study.

作者信息

Edström Sonja, Hellquist Barbro Numan, Sandström Maria, Sadanandan Sajna Anand, Björkblom Benny, Melin Beatrice, Sjöberg Rickard L

机构信息

Department of Clinical Sciences, Neurosciences, Umeå University, Umeå, Sweden.

Department of Radiation Sciences, Oncology, Umeå University, Umeå, Sweden.

出版信息

Neurooncol Pract. 2023 Aug 30;11(2):125-131. doi: 10.1093/nop/npad057. eCollection 2024 Apr.

Abstract

BACKGROUND

Depression and treatment with antidepressant medication is common in patients with malignant glioma. However, the extent to which antidepressants may affect the disease is not fully understood. Therefore, the purpose of the present study was to investigate possible associations between treatment with antidepressant medication and survival in glioma patients.

METHODS

We performed a registry-based cohort study including 1231 patients with malignant glioma (WHO grades 2, 3, and 4) having undergone surgery, and 6400 matched controls without glioma. All data were extracted from the RISK North database, which contains information from multiple national population-based registries in Sweden.

RESULTS

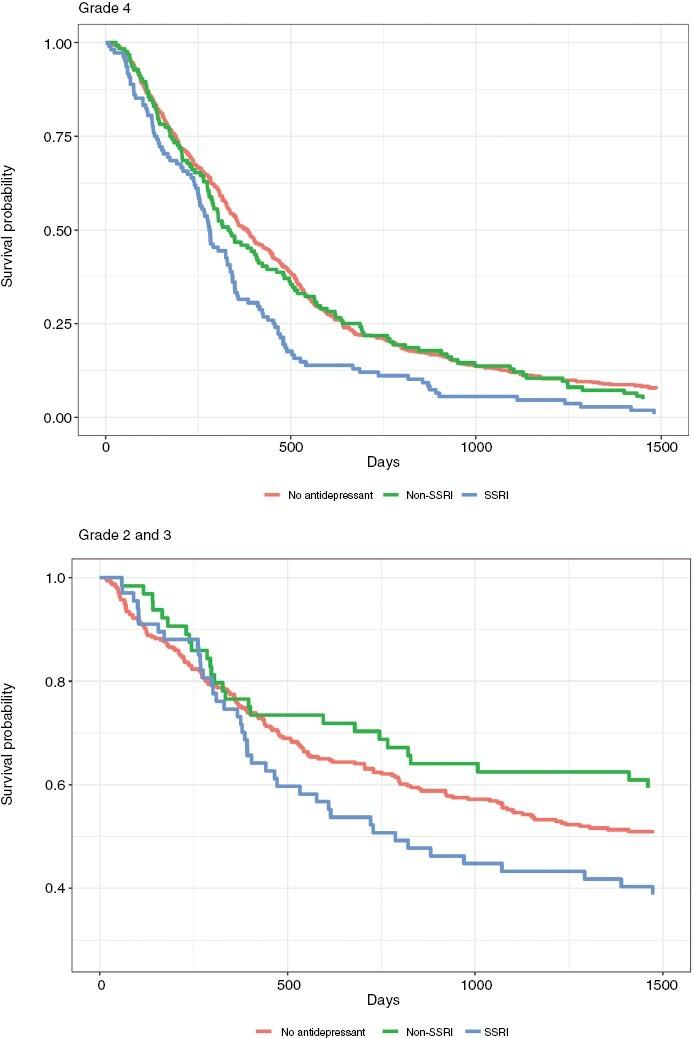
Treatment with antidepressants is more common in patients with malignant glioma (27%), compared to controls (16%),  < .001. Treatment with antidepressants after surgery for glioma was significantly associated with poorer survival. These effects were observed both for selective serotonin reuptake inhibitors (SSRIs) and non-SSRIs. In grade 4 glioma, SSRI treatment was associated with a hazard ratio (HR) of 3.32 (95% CI 2.69-4.10,  < .001), and non-SSRI treatment a HR of 3.54 (95% CI 2.52-4.99,  < .001), compared to glioma patients without antidepressants. In grade 2-3 glioma, the HR for SSRI treatment was 3.26 (95% CI 2.19-4.85,  < .001), and for non-SSRI treatment was 7.71 (95% CI 4.22-14.12,  < .001).

CONCLUSIONS

Our results demonstrate a negative association between antidepressant medication and survival in glioma. Further research will be needed to clarify causation.

摘要

背景

抑郁症及抗抑郁药物治疗在恶性胶质瘤患者中很常见。然而,抗抑郁药对该疾病的影响程度尚未完全明确。因此,本研究的目的是调查抗抑郁药物治疗与胶质瘤患者生存率之间的可能关联。

方法

我们进行了一项基于登记处的队列研究,纳入了1231例接受过手术的恶性胶质瘤患者(世界卫生组织2、3、4级),以及6400例匹配的无胶质瘤对照。所有数据均从RISK North数据库中提取,该数据库包含来自瑞典多个全国性人群登记处的信息。

结果

与对照组(16%)相比,恶性胶质瘤患者中使用抗抑郁药治疗更为常见(27%),P<0.001。胶质瘤手术后使用抗抑郁药治疗与较差的生存率显著相关。选择性5-羟色胺再摄取抑制剂(SSRI)和非SSRI均观察到这些效应。在4级胶质瘤中,与未使用抗抑郁药的胶质瘤患者相比,SSRI治疗的风险比(HR)为3.32(95%CI 2.69-4.10,P<0.001),非SSRI治疗的HR为3.54(95%CI 2.52-4.99,P<0.001)。在2-3级胶质瘤中,SSRI治疗的HR为3.26(95%CI 2.19-4.85,P<0.001),非SSRI治疗的HR为7.71(95%CI 4.22-14.12,P<0.001)。

结论

我们的结果表明抗抑郁药物与胶质瘤患者的生存率之间存在负相关。需要进一步研究以阐明因果关系。

https://cdn.ncbi.nlm.nih.gov/pmc/blobs/8e1b/10940821/5d76b7f0ccf0/npad057_fig1.jpg

相似文献

1
Antidepressants and survival in glioma-A registry-based retrospective cohort study.
Neurooncol Pract. 2023 Aug 30;11(2):125-131. doi: 10.1093/nop/npad057. eCollection 2024 Apr.
4
Selective Serotonin Reuptake Inhibitor Use and Risk of Arrhythmia: A Nationwide, Population-Based Cohort Study.
Clin Ther. 2019 Jun;41(6):1128-1138.e8. doi: 10.1016/j.clinthera.2019.04.023.
6
Rates of 5 common antidepressant side effects among new adult and adolescent cases of depression: a retrospective US claims study.
Clin Ther. 2012 Jan;34(1):113-23. doi: 10.1016/j.clinthera.2011.11.024. Epub 2011 Dec 16.
7
Does the use of SSRIs reduce medical care utilization and expenditures?
J Ment Health Policy Econ. 2005 Sep;8(3):119-29.
8
Antidepressants for people with epilepsy and depression.
Cochrane Database Syst Rev. 2014 Dec 3;2014(12):CD010682. doi: 10.1002/14651858.CD010682.pub2.
9
Antidepressants for people with epilepsy and depression.
Cochrane Database Syst Rev. 2021 Apr 16;4(4):CD010682. doi: 10.1002/14651858.CD010682.pub3.
10
Perioperative Inpatient Use of Selective Serotonin Reuptake Inhibitors Is Associated With a Reduced Risk of THA and TKA Revision.
Clin Orthop Relat Res. 2018 Jun;476(6):1191-1197. doi: 10.1007/s11999.0000000000000098.

引用本文的文献

1
Survival Outcomes Associated with Antidepressant Use in Glioblastoma: A Cohort Study.
Res Sq. 2025 Aug 19:rs.3.rs-7339610. doi: 10.21203/rs.3.rs-7339610/v1.
2
The effect of antidepressants on glioblastoma survival: A systematic review and meta-analysis.
Neurooncol Adv. 2025 Jun 14;7(1):vdaf075. doi: 10.1093/noajnl/vdaf075. eCollection 2025 Jan-Dec.
4
Antidepressants and survival in glioma: Unraveling a complex puzzle.
Neurooncol Pract. 2024 Feb 2;11(2):111-112. doi: 10.1093/nop/npae010. eCollection 2024 Apr.

本文引用的文献

1
Association of antidepressant drug use with outcome of patients with glioblastoma.
Int J Cancer. 2023 Apr 1;152(7):1348-1359. doi: 10.1002/ijc.34344. Epub 2022 Nov 17.
2
Distinct metabolic hallmarks of WHO classified adult glioma subtypes.
Neuro Oncol. 2022 Sep 1;24(9):1454-1468. doi: 10.1093/neuonc/noac042.
3
Targeting glioblastoma signaling and metabolism with a re-purposed brain-penetrant drug.
Cell Rep. 2021 Nov 2;37(5):109957. doi: 10.1016/j.celrep.2021.109957.
4
Anxiety and depression in glioma patients: prevalence, risk factors, and their correlation with survival.
Ir J Med Sci. 2021 Aug;190(3):1155-1164. doi: 10.1007/s11845-020-02374-5. Epub 2020 Nov 2.
5
Antidepressant drug use in glioblastoma patients: an epidemiological view.
Neurooncol Pract. 2020 Apr 25;7(5):514-521. doi: 10.1093/nop/npaa022. eCollection 2020 Oct.
6
A retrospective survival analysis of Glioblastoma patients treated with selective serotonin reuptake inhibitors.
Brain Behav Immun Health. 2020 Feb;2. doi: 10.1016/j.bbih.2019.100025. Epub 2019 Dec 16.
7
Role of monoamine-oxidase-A-gene variation in the development of glioblastoma in males: a case control study.
J Neurooncol. 2019 Nov;145(2):287-294. doi: 10.1007/s11060-019-03294-w. Epub 2019 Sep 25.
8
Disparities in colorectal cancer between Northern and SouthernSweden - a report from the new RISK North database.
Acta Oncol. 2018 Dec;57(12):1622-1630. doi: 10.1080/0284186X.2018.1497300. Epub 2018 Oct 3.
9
Depression and survival of glioma patients: A systematic review and meta-analysis.
Clin Neurol Neurosurg. 2018 Sep;172:8-19. doi: 10.1016/j.clineuro.2018.06.016. Epub 2018 Jun 18.
10
Serotonin and human cancer: A critical view.
Biochimie. 2019 Jun;161:46-50. doi: 10.1016/j.biochi.2018.06.016. Epub 2018 Jun 21.

文献AI研究员

20分钟写一篇综述,助力文献阅读效率提升50倍。

立即体验

用中文搜PubMed

大模型驱动的PubMed中文搜索引擎

马上搜索

文档翻译

学术文献翻译模型,支持多种主流文档格式。

立即体验