Suppr超能文献

内镜逆行胰胆管造影术中患者辐射暴露的评估:程序复杂性和临床因素的多中心回顾性分析

Assessing Patient Radiation Exposure in Endoscopic Retrograde Cholangiopancreatography: A Multicenter Retrospective Analysis of Procedural Complexity and Clinical Factors.

作者信息

Kaasalainen Touko, Saukko Ekaterina, Lindström Outi, Udd Marianne, Regnér Sara, Saarela Arto, Toth Ervin, Wurm Johansson Gabriele, Manninen Anna-Leena, Grönroos Juha, Kylänpää Leena

机构信息

HUS Diagnostic Center, Radiology, University of Helsinki and Helsinki University Hospital, 00290 Helsinki, Finland.

Department of Radiology, Turku University Hospital and University of Turku, 20521 Turku, Finland.

出版信息

Diagnostics (Basel). 2024 Mar 21;14(6):656. doi: 10.3390/diagnostics14060656.

Abstract

BACKGROUND AND AIMS

Endoscopic retrograde cholangiopancreatography (ERCP) procedures can result in significant patient radiation exposure. This retrospective multicenter study aimed to assess the influence of procedural complexity and other clinical factors on radiation exposure in ERCP.

METHODS

Data on kerma-area product (KAP), air-kerma at the reference point (K), fluoroscopy time, and the number of exposures, and relevant patient, procedure, and operator factors were collected from 2641 ERCP procedures performed at four university hospitals. The influence of procedural complexity, assessed using the American Society for Gastrointestinal Endoscopy (ASGE) and HOUSE complexity grading scales, on radiation exposure quantities was analyzed within each center. The procedures were categorized into two groups based on ERCP indications: primary sclerosing cholangitis (PSC) and other ERCPs.

RESULTS

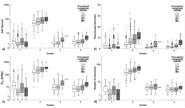
Both the ASGE and HOUSE complexity grading scales had a significant impact on radiation exposure quantities. Remarkably, there was up to a 50-fold difference in dose quantities observed across the participating centers. For non-PSC ERCP procedures, the median KAP ranged from 0.9 to 64.4 Gy·cm among the centers. The individual endoscopist also had a substantial influence on radiation dose.

CONCLUSIONS

Procedural complexity grading in ERCP significantly affects radiation exposure. Higher procedural complexity is typically associated with increased patient radiation dose. The ASGE complexity grading scale demonstrated greater sensitivity to changes in radiation exposure compared to the HOUSE grading scale. Additionally, significant variations in dose indices, fluoroscopy times, and number of exposures were observed across the participating centers.

摘要

背景与目的

内镜逆行胰胆管造影术(ERCP)操作可导致患者受到大量辐射。这项回顾性多中心研究旨在评估操作复杂性及其他临床因素对ERCP中辐射暴露的影响。

方法

收集了在四家大学医院进行的2641例ERCP操作的空气比释动能面积乘积(KAP)、参考点空气比释动能(K)、透视时间、曝光次数以及相关患者、操作和操作者因素的数据。在每个中心内分析使用美国胃肠内镜学会(ASGE)和HOUSE复杂性分级量表评估的操作复杂性对辐射暴露量的影响。根据ERCP适应证将操作分为两组:原发性硬化性胆管炎(PSC)和其他ERCP。

结果

ASGE和HOUSE复杂性分级量表对辐射暴露量均有显著影响。值得注意的是,各参与中心观察到的剂量量相差高达50倍。对于非PSC的ERCP操作,各中心的KAP中位数范围为0.9至64.4 Gy·cm。个体内镜医师对辐射剂量也有很大影响。

结论

ERCP中的操作复杂性分级显著影响辐射暴露。操作复杂性越高通常与患者辐射剂量增加相关。与HOUSE分级量表相比,ASGE复杂性分级量表对辐射暴露变化的敏感性更高。此外,各参与中心在剂量指标、透视时间和曝光次数方面存在显著差异。

https://cdn.ncbi.nlm.nih.gov/pmc/blobs/a795/10969589/2bd83f6b2a49/diagnostics-14-00656-g001.jpg

文献检索

告别复杂PubMed语法,用中文像聊天一样搜索,搜遍4000万医学文献。AI智能推荐,让科研检索更轻松。

立即免费搜索

文件翻译

保留排版,准确专业,支持PDF/Word/PPT等文件格式,支持 12+语言互译。

免费翻译文档

深度研究

AI帮你快速写综述,25分钟生成高质量综述,智能提取关键信息,辅助科研写作。

立即免费体验