Suppr超能文献

基于代谢组学的推断死后经过时间的新方法:一种新型的生理学方法。

Volabolomic Fingerprinting for Post-Mortem Interval Estimation: A Novel Physiological Approach.

机构信息

Neuroscience, Imaging and Clinical Science Department, "G. d'Annunzio" University of Chieti-Pescara, 66100 Chieti, Italy.

Dipartimento di Scienze Mediche e Sanità Pubblica, Università degli Studi di Cagliari and Azienda Ospedaliero-Universitaria di Cagliari, 09123 Cagliari, Italy.

出版信息

Biomolecules. 2024 Feb 28;14(3):286. doi: 10.3390/biom14030286.

Abstract

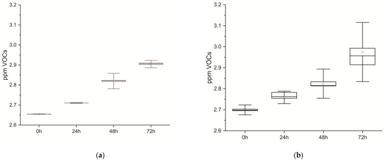
Death is a multifaceted process wherein each individual cell and tissue has a metabolic homeostasis and a time of functional cessation defined by the dying process as well as by intrinsic and extrinsic factors. Decomposition is physiologically associated with the release of different types of volatile organic compounds (VOCs), and these form volaboloma mortis. The main purpose of this study was to record the volabolomic fingerprint produced by volatile molecules during the physiological decomposition process of human tissue and muscle cells. The volatile chemical signature has important implications for an open issue in forensics and pathology, namely the estimation of the postmortem interval (PMI), which decreases in accuracy with the passage of time. Volatile metabolites emitted from human tissues and muscle cells at 0, 24, 48, and 72 h were recorded in real time with an electronic nose sensor device. The key findings were the continuous sampling of VOCs emitted from tissues and cells. These showed a common behavior as time progressed; particularly, after 48 h the distributions became dispersed, and after 72 h they became more variable. Volabolomic fingerprinting associated with time progression relevant to the study of PMIs was reconstructed. Additionally, there may be broader applications, such as in dog training procedures for detecting human remains, and perhaps even for studying scavenger and insect attractants.

摘要

死亡是一个多方面的过程,其中每个细胞和组织都有代谢平衡和功能停止的时间,这是由死亡过程以及内在和外在因素决定的。分解在生理上与不同类型挥发性有机化合物(VOC)的释放有关,这些化合物形成了尸臭挥发组。本研究的主要目的是记录人类组织和肌肉细胞生理分解过程中挥发性分子产生的代谢组指纹图谱。挥发性化学特征对于法医学和病理学中的一个悬而未决的问题具有重要意义,即死后间隔时间(PMI)的估计,随着时间的推移,PMI 的准确性会降低。使用电子鼻传感器设备实时记录了 0、24、48 和 72 小时人体组织和肌肉细胞释放的挥发性代谢产物。主要发现是从组织和细胞中连续采样 VOCs。随着时间的推移,它们表现出共同的行为;特别是在 48 小时后,分布变得分散,在 72 小时后变得更加多变。与研究 PMI 相关的时间进程的代谢组指纹图谱被重建。此外,它可能有更广泛的应用,例如在检测人类遗骸的犬训练程序中,甚至可能用于研究食腐动物和昆虫的引诱剂。

https://cdn.ncbi.nlm.nih.gov/pmc/blobs/04e0/10968422/191bda90b3e5/biomolecules-14-00286-g001.jpg

文献检索

告别复杂PubMed语法,用中文像聊天一样搜索,搜遍4000万医学文献。AI智能推荐,让科研检索更轻松。

立即免费搜索

文件翻译

保留排版,准确专业,支持PDF/Word/PPT等文件格式,支持 12+语言互译。

免费翻译文档

深度研究

AI帮你快速写综述,25分钟生成高质量综述,智能提取关键信息,辅助科研写作。

立即免费体验