Wang Xin, Liu Jinming, Chen Haiming, Zhou Shihao, Mao Dongsheng
School of Materials Science and Chemical Engineering, Ningbo University, Ningbo 315211, China.
Key Laboratory of Marine Materials and Related Technologies, Zhejiang Key Laboratory of Marine Materials and Protective Technologies, Ningbo Institute of Materials Technology and Engineering, Chinese Academy of Sciences, Ningbo 315201, China.
Polymers (Basel). 2024 Mar 12;16(6):778. doi: 10.3390/polym16060778.
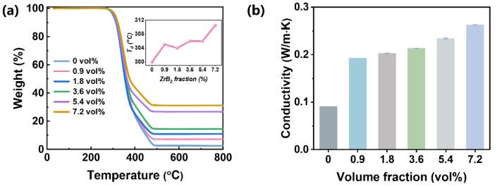
With the vigorous development of the Internet of Things, 5G technology, and artificial intelligence, flexible wearable sensors have received great attention. As a simple and low-cost power supply in wearable sensors, the triboelectric nanogenerator (TENG) has a wide range of applications in the field of flexible electronics. However, most polymers are thermally poor conductors (less than 0.1 W/(m·K)), resulting in insufficient heat dissipation performance and limiting the development of TENG. In this study, a high-performance non-woven fabric TENG with strong thermal conductivity (0.26 W/m·K) was achieved by introducing ZrB into the polyurethane (PU) matrix. The excellent output performance with an open circuit voltage (V) of 347.6 V, a short circuit current (I) of 3.61 μA, and an accumulated charge of 142.4 nC endows it with good sensitivity. The electrospun PU/ZrB composites exhibit excellent sensing performance to detect body movements in situ, such as pressing, clapping, running, and walking. Moreover, the generated power can light up 224 LED bulbs as a demonstration of self-powering ability.
随着物联网、5G技术和人工智能的蓬勃发展,柔性可穿戴传感器受到了极大关注。作为可穿戴传感器中一种简单且低成本的电源,摩擦纳米发电机(TENG)在柔性电子领域有着广泛应用。然而,大多数聚合物是热的不良导体(小于0.1W/(m·K)),导致散热性能不足,限制了TENG的发展。在本研究中,通过将ZrB引入聚氨酯(PU)基体中,制备出了具有高导热性(0.26W/m·K)的高性能非织造布TENG。其具有优异的输出性能,开路电压(V)为347.6V,短路电流(I)为3.61μA,累积电荷量为142.4nC,赋予了它良好的灵敏度。静电纺丝的PU/ZrB复合材料对原位检测身体运动(如按压、鼓掌、跑步和行走)表现出优异的传感性能。此外,所产生的电能能够点亮224个发光二极管灯泡,以此展示其自供电能力。