Cerdà Joan Josep, Batle Josep, Bona-Casas Carles, Massó Joan, Sintes Tomàs
Departament de Física UIB i Institut d'Aplicacions Computacionals de Codi Comunitari (IAC3), Campus UIB, E-07122 Palma de Mallorca, Spain.
Centre de Recerca Independent, E-07420 Sa Pobla, Spain.
Polymers (Basel). 2024 Mar 15;16(6):820. doi: 10.3390/polym16060820.
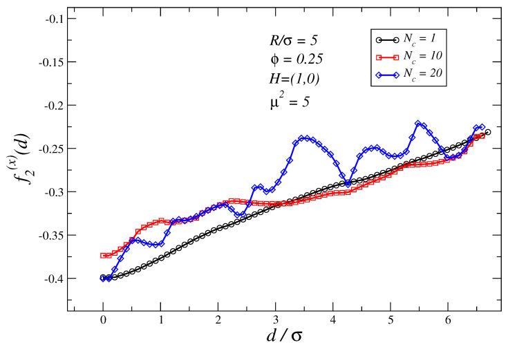
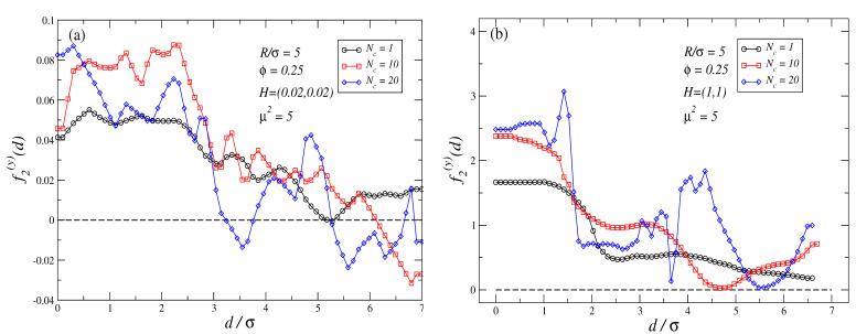
The pair-interaction force profiles for two non-magnetic colloids immersed in a suspension of ferromagnetic colloidal polymers are investigated via Langevin simulations. A quasi-two-dimensional approach is taken to study the interface case and a range of colloidal size ratios (non-magnetic:magnetic) from 6:1 up to 20:1 have been considered in this work. Simulations show that when compared with non-magnetic suspensions, the magnetic polymers strongly modify the depletion force profiles leading to strongly oscillatory behavior. Larger polymer densities and size ratios increase the range of the depletion forces, and in general, also their strength; the force barrier peaks at short distances show more complex behavior. As the length of the ferromagnetic polymers increases, the force profiles become more regular, and stable points with their corresponding attraction basins develop. The number of stable points and the distance at which they occur can be tuned through the modification of the field strength and the angle θ formed by the field and the imaginary axis joining the centers of the two non-magnetic colloids. When not constrained, the net forces acting on the two colloids tend to align them with the field till θ=0∘. At this angle, the force profiles turn out to be purely attractive, and therefore, these systems could be used as a funneling tool to form long linear arrays of non-magnetic particles. Torsional forces peak at θ=45∘ and have minimums at θ=0∘ as well as θ=90∘ which is an unstable orientation as slight deviations will evolve towards θ→0∘. Nonetheless, results suggest that the θ=90∘ orientation could be easily stabilized in several ways. In such a case, the stable points that the radial force profiles exhibit for this orthogonal orientation to the field could be used to control the distance between the two large colloids: their position and number can be controlled via . Therefore, suspensions made of ferromagnetic colloidal polymers can be also useful in the creation of magnetic colloidal tweezers or ratchets. A qualitative explanation of all the observed phenomena can be provided in terms of how the geometrical constraints and the external field modify the conformations of the ferromagnetic polymers near the two large particles, and in turn, how both factors combine to create unbalanced Kelvin forces that oscillate in strength with the distance between the two non-magnetic colloids.
通过朗之万模拟研究了浸没在铁磁胶体聚合物悬浮液中的两种非磁性胶体的成对相互作用力分布。采用准二维方法研究界面情况,并且在这项工作中考虑了一系列从6:1到20:1的胶体尺寸比(非磁性:磁性)。模拟表明,与非磁性悬浮液相比,磁性聚合物强烈改变了耗尽力分布,导致强烈的振荡行为。更大的聚合物密度和尺寸比增加了耗尽力的范围,并且一般来说,也增加了它们的强度;短距离处的力垒峰值表现出更复杂的行为。随着铁磁聚合物长度的增加,力分布变得更加规则,并且出现了具有相应吸引盆地的稳定点。稳定点的数量及其出现的距离可以通过改变场强以及场与连接两个非磁性胶体中心的虚轴所形成的角度θ来调节。当不受约束时,作用在两个胶体上的净力倾向于使它们与场对齐,直到θ = 0°。在这个角度下,力分布结果是纯粹吸引性的,因此,这些系统可以用作形成非磁性颗粒长线性阵列的漏斗工具。扭转力在θ = 45°时达到峰值,在θ = 0°以及θ = 90°时达到最小值,θ = 90°是一个不稳定的取向,因为轻微的偏差将朝着θ→0°发展。尽管如此,结果表明θ = 90°取向可以通过几种方式轻松稳定下来。在这种情况下,径向力分布在与场正交的这种取向上表现出的稳定点可用于控制两个大胶体之间的距离:它们的位置和数量可以通过……来控制。因此,由铁磁胶体聚合物制成的悬浮液在制造磁性胶体镊子或棘轮方面也可能是有用的。可以根据几何约束和外部场如何改变两个大颗粒附近铁磁聚合物的构象,以及反过来这两个因素如何结合产生强度随两个非磁性胶体之间距离振荡的不平衡开尔文力,对所有观察到的现象提供定性解释。