Suppr超能文献

儿童和青少年肥胖的表型与青年期高血压发病之间的关联。

Associations Between Phenotypes of Childhood and Adolescent Obesity and Incident Hypertension in Young Adulthood.

作者信息

Fleur Ruth St, Tanofsky-Kraff Marian, Yanovski Jack, Horton Nicholas, Reich Laura, Chavarro Jorge, Hirschhorn Joel, Ziobrowski Hannah, Field Alison

机构信息

Brown University.

Uniformed Services University (USU).

出版信息

Res Sq. 2024 Mar 21:rs.3.rs-4113605. doi: 10.21203/rs.3.rs-4113605/v1.

Abstract

OBJECTIVES

We investigated whether empirically derived childhood obesity phenotypes were differentially associated with risk of hypertension in young adulthood, and whether these associations differed by sex.

METHODS

Data came from 11,404 participants in the Growing Up Today Study, a prospective cohort study in the US established in 1996. We used a childhood obesity phenotype variable that was previously empirically derived using latent class analysis. The childhood obesity phenotypes included an early puberty phenotype (females only), a mothers with obesity phenotype, a high weight concerns phenotype, and a mixed phenotype. Participants without overweight or obesity in childhood or adolescence were the reference group. We then used logistic regression models with generalized estimating equations to examine associations of childhood obesity phenotypes with incident hypertension between ages 20-35 years. All analyses were stratified by sex.

RESULTS

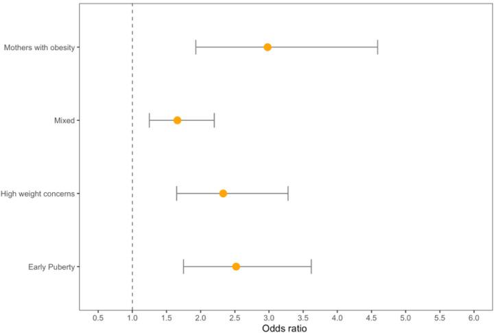
Among females, participants in all of the empirically derived childhood obesity phenotypes were more likely than their peers without childhood overweight/obesity to develop hypertension in young adulthood (early puberty subtype odds ratio (OR) = 2.52; 95% confidence interval (CI) = 1.75, 3.62; mothers with obesity (MO) subtype OR = 2.98; 95% CI = 1.93, 4.59; high weight concerns (WC) subtype OR = 2.33; 95% CI = 1.65, 3.28; mixed subtype OR = 1.66; 95% CI = 1.25, 2.20). Among males, the childhood obesity phenotypes were associated with a higher risk of developing hypertension, although males in the MO (OR = 2.65; 95% CI = 1.82, 3.87) and WC phenotypes (OR = 3.52; 95% CI = 2.38, 5.20) had a greater risk of developing hypertension than the mixed subtype (OR = 1.51; 95% CI = 1.23, 1.86) ( = 0.004).

CONCLUSION

Risk for incident hypertension in young adulthood varied by childhood obesity phenotypes, as well as by biological sex. If replicated, these results may suggest that increased surveillance of specific childhood obesity phenotypes might help in targeting those at highest risk for hypertension.

摘要

目的

我们研究了根据经验得出的儿童肥胖表型是否与青年期高血压风险存在差异关联,以及这些关联是否因性别而异。

方法

数据来自“今日成长研究”中的11404名参与者,这是一项于1996年在美国开展的前瞻性队列研究。我们使用了一个先前通过潜在类别分析根据经验得出的儿童肥胖表型变量。儿童肥胖表型包括青春期早熟表型(仅女性)、母亲肥胖表型、高度关注体重表型和混合表型。童年或青春期无超重或肥胖的参与者为参照组。然后,我们使用带有广义估计方程的逻辑回归模型来研究儿童肥胖表型与20至35岁之间新发高血压的关联。所有分析均按性别分层。

结果

在女性中,所有根据经验得出的儿童肥胖表型的参与者在青年期患高血压的可能性均高于童年无超重/肥胖的同龄人(青春期早熟亚型优势比(OR)=2.52;95%置信区间(CI)=1.75,3.62;母亲肥胖(MO)亚型OR =2.98;95%CI =1.93,4.59;高度关注体重(WC)亚型OR =2.33;95%CI =1.65,3.28;混合亚型OR =1.66;95%CI =1.25,2.20)。在男性中,儿童肥胖表型与患高血压的较高风险相关,尽管MO表型(OR =2.65;95%CI =1.82,3.87)和WC表型(OR =3.52;95%CI =2.38,5.20)的男性患高血压的风险高于混合亚型(OR =1.51;95%CI =1.23,1.86)(P =0.004)。

结论

青年期新发高血压的风险因儿童肥胖表型以及生物学性别而异。如果得到重复验证,这些结果可能表明加强对特定儿童肥胖表型的监测可能有助于针对高血压风险最高的人群。

https://cdn.ncbi.nlm.nih.gov/pmc/blobs/c92c/10984016/d9d122f43116/nihpp-rs4113605v1-f0001.jpg

文献AI研究员

20分钟写一篇综述,助力文献阅读效率提升50倍。

立即体验

用中文搜PubMed

大模型驱动的PubMed中文搜索引擎

马上搜索

文档翻译

学术文献翻译模型,支持多种主流文档格式。

立即体验