Suppr超能文献

母亲围产期应激与产后第一年婴儿DNA甲基化水平的抑郁之间的关联。

Association between Maternal Perinatal Stress and Depression on Infant DNA Methylation in the First Year of Life.

作者信息

Abrishamcar Sarina, Zhuang Beryl, Thomas Mara, Gladish Nicole, MacIsaac Julia, Jones Meaghan, Simons Elinor, Moraes Theo, Mandhane Piush, Brook Jeffrey, Subbarao Padmaja, Turvey Stuart, Chen Edith, Miller Gregory, Kobor Michael, Huels Anke

机构信息

Emory University.

University of Manitoba.

出版信息

Res Sq. 2024 Mar 21:rs.3.rs-3962429. doi: 10.21203/rs.3.rs-3962429/v1.

Abstract

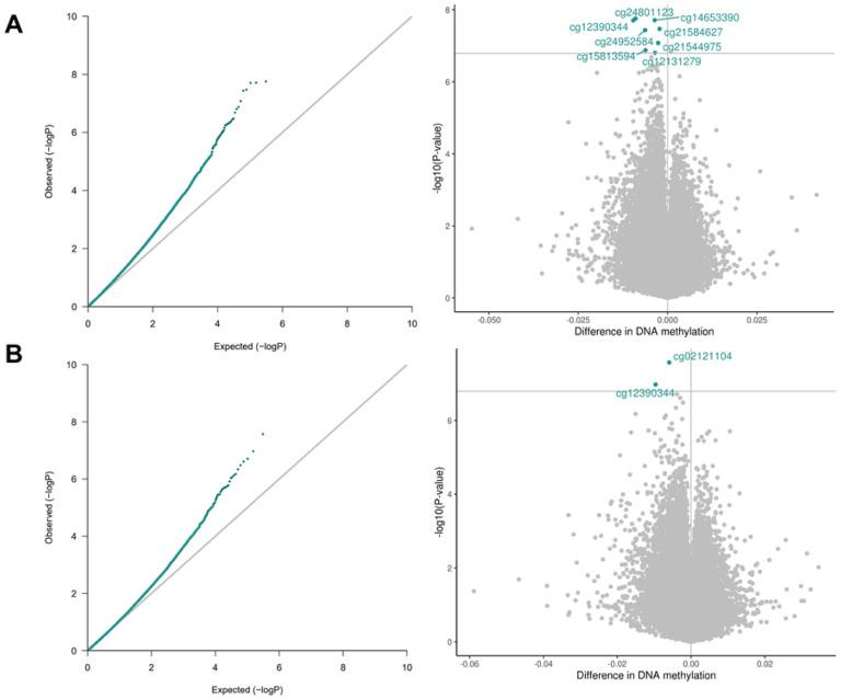
Maternal stress and depression during pregnancy and the first year of the infant's life affect a large percentage of mothers. Maternal stress and depression have been associated with adverse fetal and childhood outcomes as well as differential child DNA methylation (DNAm). However, the biological mechanisms connecting maternal stress and depression to poor health outcomes in children are still largely unknown. Here we aim to determine whether prenatal stress and depression are associated with changes in cord blood mononuclear cell DNAm (CBMC-DNAm) in newborns (n = 119) and whether postnatal stress and depression are associated with changes in peripheral blood mononuclear cell DNAm (PBMC-DNAm) in children of 12 months of age (n = 113) from the Canadian Healthy Infant Longitudinal Development (CHILD) cohort. Stress was measured using the 10-item Perceived Stress Scale (PSS) and depression was measured using the Center for Epidemiologic Studies Depression Questionnaire (CESD). Both stress and depression were measured at 18 weeks and 36 weeks of pregnancy and six months and 12 months postpartum. We conducted epigenome-wide association studies (EWAS) using robust linear regression followed by a sensitivity analysis in which we bias-adjusted for inflation and unmeasured confounding using the bacon and cate methods. To investigate the cumulative effect of maternal stress and depression, we created composite prenatal and postnatal adversity scores. We identified a significant association between prenatal stress and differential CBMC-DNAm at 8 CpG sites and between prenatal depression and differential CBMC-DNAm at 2 CpG sites. Additionally, we identified a significant association between postnatal stress and differential PBMC-DNAm at 8 CpG sites and between postnatal depression and differential PBMC-DNAm at 11 CpG sites. Using our composite scores, we further identified 2 CpG sites significantly associated with prenatal adversity and 7 CpG sites significantly associated with postnatal adversity. Several of the associated genes, including , and have been implicated in adverse fetal outcomes and neuropsychiatric disorders. This suggested that differential DNAm may play a role in the relationship between maternal mental health and child health.

摘要

孕期及婴儿出生后第一年母亲的压力和抑郁影响着很大比例的母亲。母亲的压力和抑郁与不良的胎儿及儿童期结局以及儿童DNA甲基化差异(DNAm)有关。然而,将母亲的压力和抑郁与儿童健康不良结局联系起来的生物学机制仍很大程度上未知。在此,我们旨在确定产前压力和抑郁是否与新生儿(n = 119)脐带血单个核细胞DNAm(CBMC-DNAm)的变化相关,以及产后压力和抑郁是否与来自加拿大健康婴儿纵向发育(CHILD)队列中12个月大儿童(n = 113)外周血单个核细胞DNAm(PBMC-DNAm)的变化相关。使用10项感知压力量表(PSS)测量压力,使用流行病学研究中心抑郁问卷(CESD)测量抑郁。压力和抑郁均在怀孕18周和36周以及产后6个月和12个月进行测量。我们使用稳健线性回归进行全基因组关联研究(EWAS),随后进行敏感性分析,其中我们使用bacon和cate方法对膨胀和未测量的混杂因素进行偏差调整。为了研究母亲压力和抑郁的累积效应,我们创建了产前和产后综合逆境评分。我们在8个CpG位点发现产前压力与CBMC-DNAm差异之间存在显著关联,在2个CpG位点发现产前抑郁与CBMC-DNAm差异之间存在显著关联。此外,我们在8个CpG位点发现产后压力与PBMC-DNAm差异之间存在显著关联,在11个CpG位点发现产后抑郁与PBMC-DNAm差异之间存在显著关联。使用我们的综合评分,我们进一步确定了2个与产前逆境显著相关的CpG位点和7个与产后逆境显著相关的CpG位点。几个相关基因,包括 、 和 ,已被认为与不良胎儿结局和神经精神疾病有关。这表明DNAm差异可能在母亲心理健康与儿童健康之间的关系中起作用。

https://cdn.ncbi.nlm.nih.gov/pmc/blobs/dfbb/10984027/c81e523cde5b/nihpp-rs3962429v1-f0001.jpg

文献AI研究员

20分钟写一篇综述,助力文献阅读效率提升50倍。

立即体验

用中文搜PubMed

大模型驱动的PubMed中文搜索引擎

马上搜索

文档翻译

学术文献翻译模型,支持多种主流文档格式。

立即体验