Suppr超能文献

基于患者间和患者内分析评估[镓]镓-PSMA-11和[氟]氟-PSMA-1007 PET/CT的生物分布。

Evaluating the biodistribution for [Ga]Ga-PSMA-11 and [F]F-PSMA-1007 PET/CT with an inter- and intrapatient based analysis.

作者信息

Popescu Cristina E, Zhang Boya, Sartoretti Thomas, Spielhofer Noel, Skawran Stephan, Heimer Jakob, Messerli Michael, Sauter Alexander, Huellner Martin W, Kaufmann Philipp A, Burger Irene A, Maurer Alexander

机构信息

Department of Nuclear Medicine, Cantonal Hospital Baden, Baden, Switzerland.

Department of Health Sciences and technology, ETH Zurich, Zurich, Switzerland.

出版信息

EJNMMI Res. 2024 Apr 5;14(1):36. doi: 10.1186/s13550-024-01097-3.

Abstract

BACKGROUND

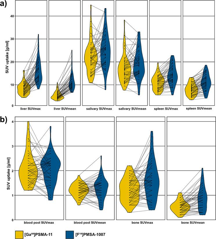
Liver uptake in [Ga]Ga-PSMA-11 PET is used as an internal reference in addition to clinical parameters to select patients for [Lu]Lu-PSMA-617 radioligand therapy (RLT). Due to increased demand, [Ga]Ga-PSMA-11 was replaced by [F]F-PSMA-1007, a more lipophilic tracer with different biodistribution and splenic uptake was suggested as a new internal reference. We compared the intra-patient tracer distribution between [Ga]Ga-PSMA-11 and [F]F-PSMA-1007.

METHODS

Fifty patients who underwent PET examinations in two centers with both [F]F-PSMA-1007 and [Ga]Ga-PSMA-11 within one year were included. Mean standardized uptake values (SUV) were obtained for liver, spleen, salivary glands, blood pool, and bone. Primary tumor, local recurrence, lymph node, bone or visceral metastasis were also assessed for intra- and inter-individual comparison.

RESULTS

Liver SUV was significantly higher with [F]F-PSMA-1007 (11.7 ± 3.9) compared to [Ga]Ga-PSMA-11 (5.4 ± 1.7, p < .05) as well as splenic SUV (11.2 ± 3.5 vs.8.1 ± 3.5, p < .05). The blood pool was comparable between the two scans. Malignant lesions did not show higher SUV on [F]F-PSMA-1007. Intra-individual comparison of liver uptake between the two scans showed a linear association for liver uptake with SUV [Ga]Ga-PSMA-11 = 0.33 x SUV [F]F-PSMA-1007 + 1.52 (r = .78, p < .001).

CONCLUSION

Comparing biodistribution of [Ga]Ga and [F]F tracers, liver uptake on [Ga]Ga-PSMA-11 PET is the most robust internal reference value. Liver uptake of [F]F-PSMA-1007 was significantly higher, but so was the splenic uptake. The strong intra-individual association of hepatic accumulation between the two scans may allow using of a conversion factor for [F]F-PSMA-1007 as a basis for RLT selection.

摘要

背景

在[镓]Ga-PSMA-11正电子发射断层扫描(PET)中,肝脏摄取情况除用于临床参数外,还作为内部参考指标,以选择适合接受[镥]Lu-PSMA-617放射性配体疗法(RLT)的患者。由于需求增加,[镓]Ga-PSMA-11被[氟]F-PSMA-1007取代,后者是一种亲脂性更强的示踪剂,具有不同的生物分布,脾脏摄取情况被提议作为新的内部参考指标。我们比较了患者体内[镓]Ga-PSMA-11和[氟]F-PSMA-1007的示踪剂分布情况。

方法

纳入50例在两个中心于1年内先后接受了[氟]F-PSMA-1007和[镓]Ga-PSMA-11 PET检查的患者。获取肝脏、脾脏、唾液腺、血池和骨骼的平均标准化摄取值(SUV)。还对原发性肿瘤、局部复发、淋巴结、骨转移或内脏转移进行了个体内和个体间比较。

结果

与[镓]Ga-PSMA-11(5.4±1.7)相比,[氟]F-PSMA-1007的肝脏SUV显著更高(11.7±3.9,p<0.05),脾脏SUV也是如此(11.2±3.5对8.1±3.5,p<0.05)。两次扫描的血池情况相当。恶性病变在[氟]F-PSMA-1007上未显示出更高的SUV。两次扫描之间肝脏摄取的个体内比较显示,肝脏摄取与SUV之间呈线性关联,[镓]Ga-PSMA-11的SUV = 0.33×[氟]F-PSMA-1007的SUV + 1.52(r = 0.78,p<0.001)。

结论

比较[镓]Ga和[氟]F示踪剂的生物分布,[镓]Ga-PSMA-11 PET上的肝脏摄取是最可靠的内部参考值。[氟]F-PSMA-1007的肝脏摄取显著更高,但脾脏摄取也是如此。两次扫描之间肝脏蓄积的个体内强关联可能允许将[氟]F-PSMA-1007的转换因子用作RLT选择的基础。

https://cdn.ncbi.nlm.nih.gov/pmc/blobs/4e89/10997563/585b97abef1b/13550_2024_1097_Fig1_HTML.jpg

文献AI研究员

20分钟写一篇综述,助力文献阅读效率提升50倍。

立即体验

用中文搜PubMed

大模型驱动的PubMed中文搜索引擎

马上搜索

文档翻译

学术文献翻译模型,支持多种主流文档格式。

立即体验