Suppr超能文献

有收缩功能障碍和无收缩功能障碍患者中,导管消融治疗频发室性早搏的肾脏和神经激素效应的倾向评分匹配比较

Propensity-score matched comparison of renal and neurohormonal effects of catheter ablation for frequent premature ventricular contractions in patients with and without systolic dysfunction.

作者信息

Hiroki Jiro, Mizukami Akira, Ueshima Daisuke, Mashiki Jun, Miyakuni Shota, Kono Toshikazu, Ono Maki, Miyazaki Shinsuke, Matsumura Akihiko, Sasano Tetsuo

机构信息

Department of Cardiology Kameda Medical Center Kamogawa Japan.

Department of Cardiovascular Medicine Tokyo Medical and Dental University Bunkyo-ku Japan.

出版信息

J Arrhythm. 2024 Jan 19;40(2):306-316. doi: 10.1002/joa3.12989. eCollection 2024 Apr.

Abstract

BACKGROUND

Catheter ablation (CA) for premature ventricular contractions (PVCs) restores cardiac and renal functions in patients with reduced left ventricular ejection fraction (LVEF); however, its effects on preserved EF remain unelucidated.

METHODS

The study cohort comprised 246 patients with a PVC burden of >10% on Holter electrocardiography. Using propensity matching, we compared the changes in B-type natriuretic peptide (BNP) levels and estimated glomerular filtration rate (eGFR) in patients who underwent CA or did not.

RESULTS

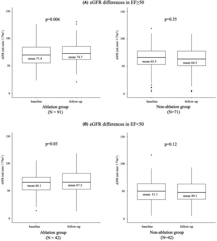
Postoperative BNP levels were decreased significantly in the CA group, regardless of the degree of LVEF, whereas there was no change in those of the non-CA group. Among patients who underwent CA, BNP levels decreased from 44.1 to 33.0 pg/mL in those with LVEF ≥50% ( = .002) and from 141.0 to 87.9 pg/mL in those with LVEF <50% ( < .001). Regarding eGFR, postoperative eGFR was significantly improved in the CA group of patients with LVEF ≥50% (from 71.4 to 74.7 mL/min/1.73 m,  = .006), whereas it decreased in the non-CA group. A similar trend was observed in the group with a reduced LVEF. Adjusted for propensity score matching, there was a significant decrease in the BNP level and recovery of eGFR after CA in patients with LVEF >50%.

CONCLUSIONS

This study showed that CA for frequent PVCs decreases BNP levels and increases eGFR even in patients with preserved LVEF.

摘要

背景

对于左心室射血分数(LVEF)降低的患者,导管消融(CA)治疗室性早搏(PVC)可恢复心脏和肾脏功能;然而,其对LVEF正常患者的影响仍不明确。

方法

研究队列包括246例动态心电图显示PVC负荷>10%的患者。采用倾向匹配法,比较接受CA治疗和未接受CA治疗患者的B型利钠肽(BNP)水平变化和估算肾小球滤过率(eGFR)。

结果

CA组术后BNP水平显著降低,无论LVEF程度如何,而非CA组无变化。在接受CA治疗的患者中,LVEF≥50%者的BNP水平从44.1 pg/mL降至33.0 pg/mL(P = 0.002),LVEF<50%者从141.0 pg/mL降至87.9 pg/mL(P<0.001)。关于eGFR,LVEF≥50%的CA组患者术后eGFR显著改善(从71.4 mL/min/1.73m²升至74.7 mL/min/1.73m²,P = 0.006),而非CA组则下降。LVEF降低的组也观察到类似趋势。经倾向评分匹配调整后,LVEF>50%的患者CA术后BNP水平显著降低,eGFR恢复。

结论

本研究表明,即使对于LVEF正常的患者,CA治疗频发PVC也可降低BNP水平并提高eGFR。

https://cdn.ncbi.nlm.nih.gov/pmc/blobs/0784/10995584/5da46dc67e01/JOA3-40-306-g002.jpg

文献AI研究员

20分钟写一篇综述,助力文献阅读效率提升50倍。

立即体验

用中文搜PubMed

大模型驱动的PubMed中文搜索引擎

马上搜索

文档翻译

学术文献翻译模型,支持多种主流文档格式。

立即体验