Suppr超能文献

女性继发性不孕相关的预测风险因素:单变量和多变量逻辑回归分析

Predicted risk factors associated with secondary infertility in women: univariate and multivariate logistic regression analyses.

作者信息

Fatima Wafa, Akhtar Abdul Majeed, Hanif Asif, Gilani Aima, Farooq Syed Muhammad Yousaf

机构信息

Faculty of Allied Health Sciences, University Institute of Public Health, The University of Lahore, Lahore, Pakistan.

Trauma and Orthopedic Surgery, Salford Royal NHS Foundation Trust Hospital, Manchester, United Kingdom.

出版信息

Front Med (Lausanne). 2024 Mar 25;10:1327568. doi: 10.3389/fmed.2023.1327568. eCollection 2023.

Abstract

INTRODUCTION

Infertile women are those who regularly engage in unprotected intercourse for a period of at least 1 year and are unable to become clinically pregnant. Primary infertility means the inability of couples to conceive, without any previous successful pregnancies. Secondary Infertility refers to the inability to get pregnant for 12 months, after having a previous pregnancy for one time at least. The objectives of the current study were to analyze risk factors for secondary infertility and compare the predictive accuracy of artificial neural network (ANN) and multiple logistic regression models.

METHODS

The study was conducted at The University Institute of Public Health collecting data from Gilani Ultrasound Center 18 months after approval of synopsis. A total of 690 women (345 cases and 345 controls) were selected. The women selected for the case group had to be 20-45 years of age, had any parity, and had a confirmed diagnosis of secondary infertility.

RESULTS

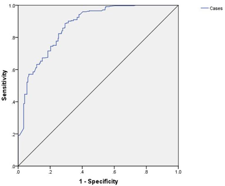
Multiple logistic regression (MLR) and ANN were used. The chance of secondary infertility was 2.91 times higher in women living in a joint family [odds ratio (OR) = 2.91; 95% confidence interval (CI) (1.91, 4.44)] and was also 2.35 times higher for those women who had relationship difficulties with their husband [OR = 2.35; 95% CI (1.18, 4.70)]. Marriage at an earlier age was associated with secondary infertility with β being negative and OR being < 1 [OR = 0.94; 95% CI (0.88, 0.99)]. For the logistic regression model, the area under the receiver operative characteristic curve (ROC) was 0.852 and the artificial neural network was 0.87, which was better than logistic regression.

DISCUSSION

Identified risk factors of secondary infertility are mostly modifiable and can be prevented by managing these risk factors.

摘要

引言

不孕女性是指那些定期进行无保护性交至少1年且无法临床受孕的女性。原发性不孕是指夫妻无法受孕,之前没有过成功妊娠。继发性不孕是指在至少有过一次妊娠后,12个月内无法再次怀孕。本研究的目的是分析继发性不孕的危险因素,并比较人工神经网络(ANN)和多元逻辑回归模型的预测准确性。

方法

该研究在公共卫生大学研究所进行,在研究大纲获批18个月后从吉拉尼超声中心收集数据。共选取了690名女性(345例病例和345例对照)。入选病例组的女性年龄必须在20至45岁之间,有任何生育史,并确诊为继发性不孕。

结果

使用了多元逻辑回归(MLR)和人工神经网络。生活在大家庭中的女性继发性不孕的几率高2.91倍[比值比(OR)=2.91;95%置信区间(CI)(1.91,4.44)],与丈夫关系有问题的女性继发性不孕的几率也高2.35倍[OR = 2.35;95% CI(1.18,4.70)]。早婚与继发性不孕相关,β为负,OR<1[OR = 0.94;95% CI(0.88,0.99)]。对于逻辑回归模型,受试者工作特征曲线(ROC)下的面积为0.852,人工神经网络为0.87,人工神经网络优于逻辑回归。

讨论

已确定的继发性不孕危险因素大多是可改变的,通过管理这些危险因素可以预防。

https://cdn.ncbi.nlm.nih.gov/pmc/blobs/7fcb/11000415/9450c38ff482/fmed-10-1327568-g0001.jpg

文献AI研究员

20分钟写一篇综述,助力文献阅读效率提升50倍。

立即体验

用中文搜PubMed

大模型驱动的PubMed中文搜索引擎

马上搜索

文档翻译

学术文献翻译模型,支持多种主流文档格式。

立即体验