Suppr超能文献

黑蝇(双翅目:Calliphoridae)细菌共生体通过稳定蝇(双翅目:Muscidae)告知产卵地点选择。

Black blow fly (Diptera: Calliphoridae) bacterial symbionts inform oviposition site selection by stable flies (Diptera: Muscidae).

机构信息

Department of Biological Sciences, Simon Fraser University, Burnaby, BC V5A 1S6, Canada.

出版信息

J Insect Sci. 2024 Mar 1;24(2). doi: 10.1093/jisesa/ieae040.

Abstract

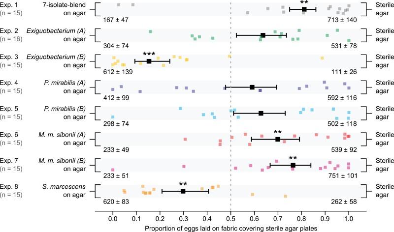
Larval habitats of blood-feeding stable flies, Stomoxys calcitrans (L.) (Diptera: Muscidae), overlap with foraging sites of black blow flies, Phormia regina (Meigen) (Diptera: Calliphoridae). We tested the hypothesis that bacteria in blow fly excreta inform oviposition decisions by female stable flies. In laboratory 2-choice bioassays, we offered gravid female stable flies fabric-covered agar plates as oviposition sites that were kept sterile or inoculated with either a blend of 7 bacterial strains isolated from blow fly excreta (7-isolate-blend) or individual bacterial isolates from that blend. The 7-isolate-blend deterred oviposition by female stable flies, as did either of 2 strains of Morganella morganii subsp. sibonii. Conversely, Exiguobacterium sp. and Serratia marcescens each prompted oviposition by flies. The flies' oviposition decisions appear to be guided by bacteria-derived semiochemicals as the bacteria could not be physically accessed. Oviposition deterrence caused by semiochemicals of the 7-isolate-blend may help stable flies avoid competition with blow flies. The semiochemicals of bioactive bacterial strains could be developed as trap lures to attract and capture flies and deter their oviposition in select larval habitats.

摘要

吸血性厩螫蝇(Stomoxys calcitrans)(双翅目:蝇科)的幼虫栖息地与黑丽蝇(Phormia regina)(双翅目:丽蝇科)的觅食地重叠。我们验证了一个假设,即蝇类排泄物中的细菌通过黑丽蝇来告知厩螫蝇的产卵决定。在实验室的 2 种选择生物测定中,我们为育孕的雌性厩螫蝇提供了覆盖着纤维的琼脂板作为产卵点,这些产卵点保持无菌或接种了 7 种从蝇类排泄物中分离的细菌混合菌株(7 混合菌株)或该混合菌株的单个细菌分离株。7 混合菌株抑制了雌性厩螫蝇的产卵,Morganella morganii subsp. sibonii 的 2 种菌株也有同样效果。相反,鞘氨醇单胞菌和粘质沙雷氏菌分别促使蝇类产卵。蝇类的产卵决定似乎是由细菌衍生的信息素引导的,因为这些细菌无法被物理接触到。7 混合菌株的信息素产生的产卵抑制作用可能有助于厩螫蝇避免与丽蝇竞争。生物活性细菌菌株的信息素可以开发成诱捕剂,以吸引和捕获蝇类,并防止它们在特定的幼虫栖息地产卵。

https://cdn.ncbi.nlm.nih.gov/pmc/blobs/e893/11005781/0b60b4ddc316/ieae040_fig1.jpg

文献AI研究员

20分钟写一篇综述,助力文献阅读效率提升50倍。

立即体验

用中文搜PubMed

大模型驱动的PubMed中文搜索引擎

马上搜索

文档翻译

学术文献翻译模型,支持多种主流文档格式。

立即体验