• 文献检索
  • 文档翻译
  • 深度研究
  • 学术资讯
  • Suppr Zotero 插件Zotero 插件
  • 邀请有礼
  • 套餐&价格
  • 历史记录
应用&插件
Suppr Zotero 插件Zotero 插件浏览器插件Mac 客户端Windows 客户端微信小程序
定价
高级版会员购买积分包购买API积分包
服务
文献检索文档翻译深度研究API 文档MCP 服务
关于我们
关于 Suppr公司介绍联系我们用户协议隐私条款
关注我们

Suppr 超能文献

核心技术专利:CN118964589B侵权必究
粤ICP备2023148730 号-1Suppr @ 2026

文献检索

告别复杂PubMed语法,用中文像聊天一样搜索,搜遍4000万医学文献。AI智能推荐,让科研检索更轻松。

立即免费搜索

文件翻译

保留排版,准确专业,支持PDF/Word/PPT等文件格式,支持 12+语言互译。

免费翻译文档

深度研究

AI帮你快速写综述,25分钟生成高质量综述,智能提取关键信息,辅助科研写作。

立即免费体验

用于小两臂临床试验随机化目的的数学规划工具:基于真实数据的案例研究。

Mathematical programming tools for randomization purposes in small two-arm clinical trials: A case study with real data.

机构信息

School of Engineering and Sciences, Tecnologico de Monterrey, Monterrey, Nuevo Leon, Mexico.

Department of Biostatistics, University of California, Los Angeles, California, USA.

出版信息

Pharm Stat. 2024 Nov-Dec;23(6):794-812. doi: 10.1002/pst.2388. Epub 2024 Apr 13.

DOI:10.1002/pst.2388
PMID:38613324
原文链接:https://pmc.ncbi.nlm.nih.gov/articles/PMC11602943/
Abstract

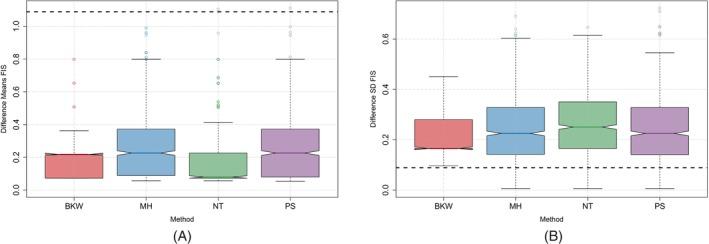
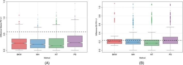
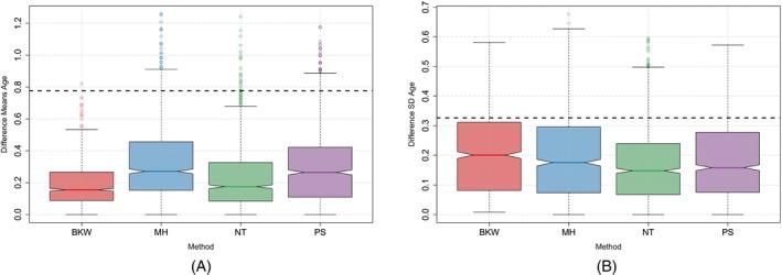
Modern randomization methods in clinical trials are invariably adaptive, meaning that the assignment of the next subject to a treatment group uses the accumulated information in the trial. Some of the recent adaptive randomization methods use mathematical programming to construct attractive clinical trials that balance the group features, such as their sizes and covariate distributions of their subjects. We review some of these methods and compare their performance with common covariate-adaptive randomization methods for small clinical trials. We introduce an energy distance measure that compares the discrepancy between the two groups using the joint distribution of the subjects' covariates. This metric is more appealing than evaluating the discrepancy between the groups using their marginal covariate distributions. Using numerical experiments, we demonstrate the advantages of the mathematical programming methods under the new measure. In the supplementary material, we provide R codes to reproduce our study results and facilitate comparisons of different randomization procedures.

摘要

临床试验中的现代随机化方法通常是适应性的,这意味着下一个受试者被分配到治疗组时,会使用试验中累积的信息。最近的一些适应性随机化方法使用数学规划来构建有吸引力的临床试验,以平衡组特征,如它们的大小和受试者的协变量分布。我们回顾了其中的一些方法,并将它们的性能与小型临床试验中常见的协变量适应性随机化方法进行了比较。我们引入了一种能量距离度量,该度量使用受试者协变量的联合分布来比较两组之间的差异。与使用组的边际协变量分布来评估组之间的差异相比,这种度量更具吸引力。通过数值实验,我们在新度量下展示了数学规划方法的优势。在补充材料中,我们提供了 R 代码来重现我们的研究结果,并方便比较不同的随机化程序。

https://cdn.ncbi.nlm.nih.gov/pmc/blobs/7554/11602943/6942a1e669dc/PST-23-794-g010.jpg
https://cdn.ncbi.nlm.nih.gov/pmc/blobs/7554/11602943/41465b03b5cd/PST-23-794-g004.jpg
https://cdn.ncbi.nlm.nih.gov/pmc/blobs/7554/11602943/1799a31e5fea/PST-23-794-g002.jpg
https://cdn.ncbi.nlm.nih.gov/pmc/blobs/7554/11602943/49cdda87a981/PST-23-794-g001.jpg
https://cdn.ncbi.nlm.nih.gov/pmc/blobs/7554/11602943/88a61b8e77b4/PST-23-794-g006.jpg
https://cdn.ncbi.nlm.nih.gov/pmc/blobs/7554/11602943/f4c42c52da00/PST-23-794-g008.jpg
https://cdn.ncbi.nlm.nih.gov/pmc/blobs/7554/11602943/a02baa767a41/PST-23-794-g012.jpg
https://cdn.ncbi.nlm.nih.gov/pmc/blobs/7554/11602943/3644db24b224/PST-23-794-g011.jpg
https://cdn.ncbi.nlm.nih.gov/pmc/blobs/7554/11602943/6de6cc2f98a8/PST-23-794-g003.jpg
https://cdn.ncbi.nlm.nih.gov/pmc/blobs/7554/11602943/132c73a88d1f/PST-23-794-g005.jpg
https://cdn.ncbi.nlm.nih.gov/pmc/blobs/7554/11602943/7fce918630fc/PST-23-794-g009.jpg
https://cdn.ncbi.nlm.nih.gov/pmc/blobs/7554/11602943/1c2a8d32687b/PST-23-794-g007.jpg
https://cdn.ncbi.nlm.nih.gov/pmc/blobs/7554/11602943/6942a1e669dc/PST-23-794-g010.jpg
https://cdn.ncbi.nlm.nih.gov/pmc/blobs/7554/11602943/41465b03b5cd/PST-23-794-g004.jpg
https://cdn.ncbi.nlm.nih.gov/pmc/blobs/7554/11602943/1799a31e5fea/PST-23-794-g002.jpg
https://cdn.ncbi.nlm.nih.gov/pmc/blobs/7554/11602943/49cdda87a981/PST-23-794-g001.jpg
https://cdn.ncbi.nlm.nih.gov/pmc/blobs/7554/11602943/88a61b8e77b4/PST-23-794-g006.jpg
https://cdn.ncbi.nlm.nih.gov/pmc/blobs/7554/11602943/f4c42c52da00/PST-23-794-g008.jpg
https://cdn.ncbi.nlm.nih.gov/pmc/blobs/7554/11602943/a02baa767a41/PST-23-794-g012.jpg
https://cdn.ncbi.nlm.nih.gov/pmc/blobs/7554/11602943/3644db24b224/PST-23-794-g011.jpg
https://cdn.ncbi.nlm.nih.gov/pmc/blobs/7554/11602943/6de6cc2f98a8/PST-23-794-g003.jpg
https://cdn.ncbi.nlm.nih.gov/pmc/blobs/7554/11602943/132c73a88d1f/PST-23-794-g005.jpg
https://cdn.ncbi.nlm.nih.gov/pmc/blobs/7554/11602943/7fce918630fc/PST-23-794-g009.jpg
https://cdn.ncbi.nlm.nih.gov/pmc/blobs/7554/11602943/1c2a8d32687b/PST-23-794-g007.jpg
https://cdn.ncbi.nlm.nih.gov/pmc/blobs/7554/11602943/6942a1e669dc/PST-23-794-g010.jpg

相似文献

1
Mathematical programming tools for randomization purposes in small two-arm clinical trials: A case study with real data.用于小两臂临床试验随机化目的的数学规划工具:基于真实数据的案例研究。
Pharm Stat. 2024 Nov-Dec;23(6):794-812. doi: 10.1002/pst.2388. Epub 2024 Apr 13.
2
Adaptive Randomization Method to Prevent Extreme Instances of Group Size and Covariate Imbalance in Stroke Trials.适应随机化方法预防卒中试验中极端的组间大小和协变量不均衡。
Stroke. 2024 Aug;55(8):1962-1972. doi: 10.1161/STROKEAHA.123.046269. Epub 2024 Jun 26.
3
Number of Repetitions in Re-Randomization Tests.重新随机化检验中的重复次数。
Pharm Stat. 2025 Jan-Feb;24(1):e2438. doi: 10.1002/pst.2438. Epub 2024 Oct 16.
4
Two-stage response adaptive randomization designs for multi-arm trials with binary outcome.两阶段反应适应性随机分组设计在多臂二分类临床试验中的应用。
J Biopharm Stat. 2024 Jul 3;34(4):526-538. doi: 10.1080/10543406.2023.2234028. Epub 2023 Jul 15.
5
The pursuit of balance: An overview of covariate-adaptive randomization techniques in clinical trials.对平衡的追求:临床试验中协变量自适应随机化技术概述
Contemp Clin Trials. 2015 Nov;45(Pt A):21-5. doi: 10.1016/j.cct.2015.07.011. Epub 2015 Aug 2.
6
Bayesian Response Adaptive Randomization for Randomized Clinical Trials With Continuous Outcomes: The Role of Covariate Adjustment.具有连续结局的随机临床试验的贝叶斯响应自适应随机化:协变量调整的作用
Pharm Stat. 2025 Mar-Apr;24(2):e2443. doi: 10.1002/pst.2443. Epub 2024 Oct 24.
7
Sequential covariate-adjusted randomization via hierarchically minimizing Mahalanobis distance and marginal imbalance.通过分层最小化马氏距离和边际不平衡来进行序贯协变量调整随机化。
Biometrics. 2024 Mar 27;80(2). doi: 10.1093/biomtc/ujae047.
8
Comparison of dynamic block randomization and minimization in randomized trials: a simulation study.动态分组随机化与最小化在随机试验中的比较:一项模拟研究。
Clin Trials. 2011 Feb;8(1):59-69. doi: 10.1177/1740774510391683.
9
Comparison of methods for control allocation in multiple arm studies using response adaptive randomization.使用反应适应性随机化比较多臂研究中控制分配的方法。
Clin Trials. 2020 Feb;17(1):52-60. doi: 10.1177/1740774519877836. Epub 2019 Oct 19.
10
A better alternative to stratified permuted block design for subject randomization in clinical trials.在临床试验中,用于受试者随机分组的分层随机区组设计的一种更好替代方法。
Stat Med. 2014 Dec 30;33(30):5239-48. doi: 10.1002/sim.6266. Epub 2014 Jul 14.

本文引用的文献

1
A roadmap to using randomization in clinical trials.在临床试验中使用随机化的路线图。
BMC Med Res Methodol. 2021 Aug 16;21(1):168. doi: 10.1186/s12874-021-01303-z.
2
Randomized Phase 1 Trial of Pembrolizumab with Sequential Versus Concomitant Stereotactic Body Radiotherapy in Metastatic Urothelial Carcinoma.帕博利珠单抗序贯与同步立体定向放疗治疗转移性尿路上皮癌的随机 1 期临床试验。
Eur Urol. 2019 May;75(5):707-711. doi: 10.1016/j.eururo.2019.01.009. Epub 2019 Jan 19.
3
A Bayesian adaptive design for clinical trials in rare diseases.
一种针对罕见病临床试验的贝叶斯适应性设计。
Comput Stat Data Anal. 2017 Sep;113:136-153. doi: 10.1016/j.csda.2016.09.006. Epub 2016 Sep 28.
4
A Semi-Infinite Programming based algorithm for determining T-optimum designs for model discrimination.一种基于半无限规划的算法,用于确定模型判别中的T最优设计。
J Multivar Anal. 2015 Mar;135:11-24. doi: 10.1016/j.jmva.2014.11.006. Epub 2014 Dec 11.
5
Finding Bayesian Optimal Designs for Nonlinear Models: A Semidefinite Programming-Based Approach.寻找非线性模型的贝叶斯最优设计:一种基于半定规划的方法。
Int Stat Rev. 2015 Aug 1;83(2):239-262. doi: 10.1111/insr.12073. Epub 2014 Oct 14.
6
The pursuit of balance: An overview of covariate-adaptive randomization techniques in clinical trials.对平衡的追求:临床试验中协变量自适应随机化技术概述
Contemp Clin Trials. 2015 Nov;45(Pt A):21-5. doi: 10.1016/j.cct.2015.07.011. Epub 2015 Aug 2.
7
The ethics of clinical trials.临床试验的伦理规范
Ecancermedicalscience. 2014 Jan 16;8:387. doi: 10.3332/ecancer.2014.387. eCollection 2014.
8
Experimental designs for small randomised clinical trials: an algorithm for choice.小随机临床试验的实验设计:选择算法。
Orphanet J Rare Dis. 2013 Mar 25;8:48. doi: 10.1186/1750-1172-8-48.
9
Introduction to a generalized method for adaptive randomization in trials.一种用于临床试验自适应随机化的广义方法介绍。
Trials. 2013 Jan 17;14:19. doi: 10.1186/1745-6215-14-19.
10
Balancing continuous covariates based on Kernel densities.基于核密度的连续协变量平衡。
Contemp Clin Trials. 2013 Mar;34(2):262-9. doi: 10.1016/j.cct.2012.12.004. Epub 2012 Dec 24.