• 文献检索
  • 文档翻译
  • 深度研究
  • 学术资讯
  • Suppr Zotero 插件Zotero 插件
  • 邀请有礼
  • 套餐&价格
  • 历史记录
应用&插件
Suppr Zotero 插件Zotero 插件浏览器插件Mac 客户端Windows 客户端微信小程序
定价
高级版会员购买积分包购买API积分包
服务
文献检索文档翻译深度研究API 文档MCP 服务
关于我们
关于 Suppr公司介绍联系我们用户协议隐私条款
关注我们

Suppr 超能文献

核心技术专利:CN118964589B侵权必究
粤ICP备2023148730 号-1Suppr @ 2026

文献检索

告别复杂PubMed语法,用中文像聊天一样搜索,搜遍4000万医学文献。AI智能推荐,让科研检索更轻松。

立即免费搜索

文件翻译

保留排版,准确专业,支持PDF/Word/PPT等文件格式,支持 12+语言互译。

免费翻译文档

深度研究

AI帮你快速写综述,25分钟生成高质量综述,智能提取关键信息,辅助科研写作。

立即免费体验

对开始使用口服降糖药的老年日本2型糖尿病患者的肾功能与血糖控制达标之间关联的医学数据库分析。

Medical database analysis of the association between kidney function and achievement of glycemic control in older Japanese adults with type 2 diabetes who started with oral antidiabetic drugs.

作者信息

Suzuki Ryo, Kazumori Kiyoyasu, Usui Tatsuya, Shinohara Masahiko

机构信息

Department of Diabetes, Metabolism and Endocrinology, Tokyo Medical University, Tokyo, Japan.

Medical Science, Sumitomo Pharma Co., Ltd., Tokyo, Japan.

出版信息

J Diabetes Investig. 2024 Aug;15(8):1057-1067. doi: 10.1111/jdi.14214. Epub 2024 Apr 18.

DOI:10.1111/jdi.14214
PMID:38634412
原文链接:https://pmc.ncbi.nlm.nih.gov/articles/PMC11292379/
Abstract

AIMS/INTRODUCTION: Despite the emergence of new drugs with novel mechanisms of action, treatment options for older people and those with chronic kidney disease are still limited.

MATERIALS AND METHODS

Using a medical database compiled from Diagnostic Procedure Combination hospitals, we retrospectively analyzed treatment status, glycemic control and kidney function over 3 years after the first oral antidiabetic drugs in Japanese adults with type 2 diabetes who were aged ≥65 years.

RESULTS

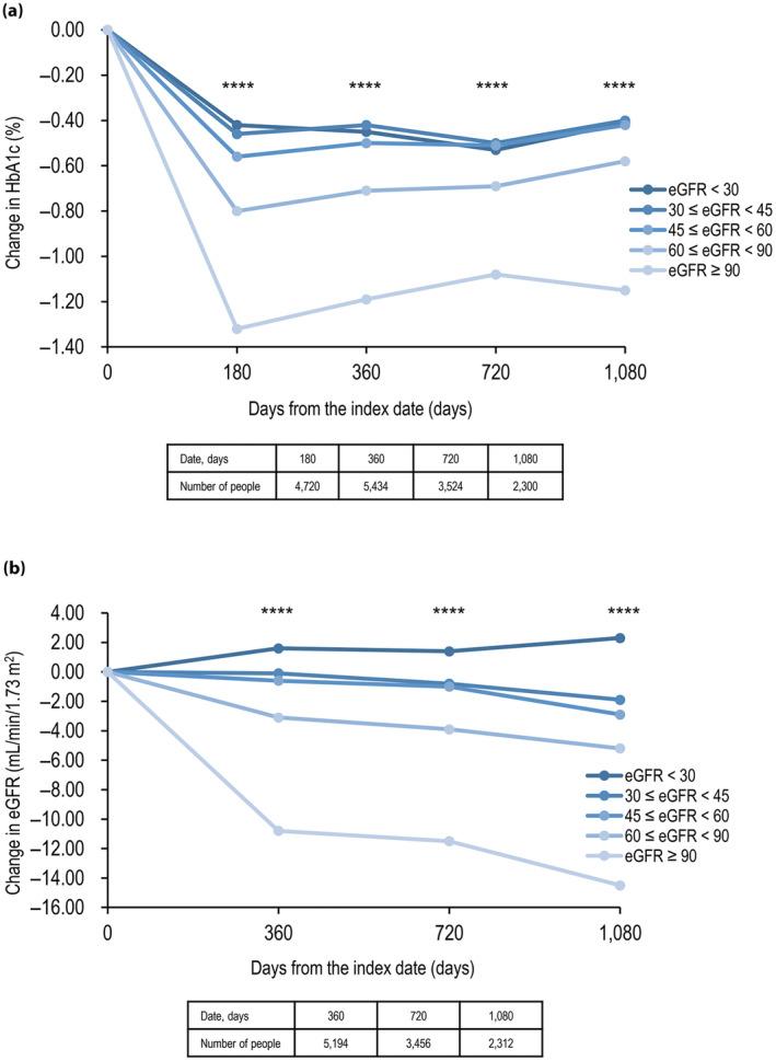
Among 5,434 study participants, 3,246 (59.7%) were men, the median age was 72.0 years, the baseline median hemoglobin A1c was 7.1% and the baseline median estimated glomerular filtration rate was 66.6 mL/min/1.73 m. Treatment was intensified in 40.0% of people during the 3-year observation period, and the median time to the first treatment intensification was 198 days. Insulin was the most commonly used agent for treatment intensification (36.9%, 802/2,175). Hemoglobin A1c of <7.0% was achieved in 3,571 (65.7%) at 360 ± 90 days. Multivariable logistic regression analysis found that baseline age, hemoglobin A1c and estimated glomerular filtration rate were negatively associated with achieving hemoglobin A1c of <7.0% at 360 ± 90 days.

CONCLUSIONS

In older Japanese adults with type 2 diabetes, those with a lower estimated glomerular filtration rate were more likely to achieve hemoglobin A1c of <7.0%. To safely manage blood glucose levels in older adults with chronic kidney disease, physicians should remain vigilant about the risk of iatrogenic hypoglycemia.

摘要

目的/引言:尽管出现了具有新作用机制的新药,但老年人和慢性肾脏病患者的治疗选择仍然有限。

材料与方法

利用从诊断程序组合医院汇编的医学数据库,我们回顾性分析了年龄≥65岁的日本2型糖尿病成年患者首次口服抗糖尿病药物后3年的治疗状况、血糖控制和肾功能。

结果

在5434名研究参与者中,3246名(59.7%)为男性,中位年龄为72.0岁,基线血红蛋白A1c中位数为7.1%,基线估计肾小球滤过率中位数为66.6 mL/min/1.73m²。在3年观察期内,40.0%的患者治疗得到强化,首次治疗强化的中位时间为198天。胰岛素是治疗强化最常用的药物(36.9%,802/2175)。在360±90天时,3571名(65.7%)患者的血红蛋白A1c<7.0%。多变量逻辑回归分析发现,基线年龄、血红蛋白A1c和估计肾小球滤过率与在360±90天时血红蛋白A1c<7.0%呈负相关。

结论

在老年日本2型糖尿病患者中,估计肾小球滤过率较低的患者更有可能使血红蛋白A1c<7.0%。为安全管理慢性肾脏病老年患者的血糖水平,医生应警惕医源性低血糖风险。

https://cdn.ncbi.nlm.nih.gov/pmc/blobs/76fc/11292379/b367cbd5a45e/JDI-15-1057-g002.jpg
https://cdn.ncbi.nlm.nih.gov/pmc/blobs/76fc/11292379/35d24751d7db/JDI-15-1057-g003.jpg
https://cdn.ncbi.nlm.nih.gov/pmc/blobs/76fc/11292379/9dab331c03ed/JDI-15-1057-g001.jpg
https://cdn.ncbi.nlm.nih.gov/pmc/blobs/76fc/11292379/b367cbd5a45e/JDI-15-1057-g002.jpg
https://cdn.ncbi.nlm.nih.gov/pmc/blobs/76fc/11292379/35d24751d7db/JDI-15-1057-g003.jpg
https://cdn.ncbi.nlm.nih.gov/pmc/blobs/76fc/11292379/9dab331c03ed/JDI-15-1057-g001.jpg
https://cdn.ncbi.nlm.nih.gov/pmc/blobs/76fc/11292379/b367cbd5a45e/JDI-15-1057-g002.jpg

相似文献

1
Medical database analysis of the association between kidney function and achievement of glycemic control in older Japanese adults with type 2 diabetes who started with oral antidiabetic drugs.对开始使用口服降糖药的老年日本2型糖尿病患者的肾功能与血糖控制达标之间关联的医学数据库分析。
J Diabetes Investig. 2024 Aug;15(8):1057-1067. doi: 10.1111/jdi.14214. Epub 2024 Apr 18.
2
Slow Titration and Delayed Intensification of Basal Insulin Among Patients with Type 2 Diabetes.2 型糖尿病患者基础胰岛素的缓慢滴定和延迟强化。
J Manag Care Spec Pharm. 2018 Apr;24(4):390-400. doi: 10.18553/jmcp.2017.17218. Epub 2017 Nov 16.
3
Influence of Treatment Intensification on A1c in Patients with Suboptimally Controlled Type 2 Diabetes After 2 Oral Antidiabetic Agents.两种口服降糖药治疗后血糖控制不佳的 2 型糖尿病患者强化治疗对 A1c 的影响。
J Manag Care Spec Pharm. 2019 Mar;25(3):314-322. doi: 10.18553/jmcp.2019.25.3.314.
4
Hypoglycemia in People with Type 2 Diabetes and CKD.2 型糖尿病合并 CKD 患者的低血糖症。
Clin J Am Soc Nephrol. 2019 Jun 7;14(6):844-853. doi: 10.2215/CJN.11650918. Epub 2019 Apr 17.
5
Poor Glycemic Control Is Associated With More Rapid Kidney Function Decline After the Onset of Diabetic Kidney Disease.血糖控制不佳与糖尿病肾病发病后肾功能下降更快相关。
J Clin Endocrinol Metab. 2024 Jul 12;109(8):2124-2135. doi: 10.1210/clinem/dgae044.
6
Association Between Routine Nephropathy Monitoring and Subsequent Change in Estimated Glomerular Filtration Rate in Patients With Diabetes Mellitus: A Japanese Non-Elderly Cohort Study.糖尿病患者常规肾病监测与随后估算肾小球滤过率变化之间的关联:一项日本非老年队列研究。
J Epidemiol. 2020 Aug 5;30(8):326-331. doi: 10.2188/jea.JE20180255. Epub 2019 Jun 15.
7
Glycaemic control and antidiabetic therapy in patients with diabetes mellitus and chronic kidney disease - cross-sectional data from the German Chronic Kidney Disease (GCKD) cohort.糖尿病合并慢性肾脏病患者的血糖控制与抗糖尿病治疗——来自德国慢性肾脏病(GCKD)队列的横断面数据
BMC Nephrol. 2016 Jun 11;17(1):59. doi: 10.1186/s12882-016-0273-z.
8
Glycemic control and antidiabetic drugs in type 2 diabetes mellitus patients with renal complications.2型糖尿病合并肾脏并发症患者的血糖控制及抗糖尿病药物
Drug Des Devel Ther. 2015 Aug 7;9:4355-71. doi: 10.2147/DDDT.S85676. eCollection 2015.
9
Prescription pattern, glycemic control status, and predictors of poor glycemic control among diabetic patients with comorbid chronic kidney disease in Ethiopia: a facility-based cross-sectional study.埃塞俄比亚合并慢性肾脏病的糖尿病患者的处方模式、血糖控制状况及血糖控制不佳的预测因素:一项基于机构的横断面研究
BMC Endocr Disord. 2025 Feb 3;25(1):28. doi: 10.1186/s12902-025-01853-z.
10
Changes in Antidiabetic Drug Prescription and Glycemic Control Trends in Elderly Patients with Type 2 Diabetes Mellitus from 2005-2013: An Analysis of the National Center Diabetes Database (NCDD-03).2005 - 2013年老年2型糖尿病患者抗糖尿病药物处方变化及血糖控制趋势:国家糖尿病数据库(NCDD - 03)分析
Intern Med. 2018 May 1;57(9):1229-1240. doi: 10.2169/internalmedicine.9481-17. Epub 2017 Dec 27.

本文引用的文献

1
Glucose-lowering treatment patterns in patients with diabetic kidney disease.患有糖尿病肾病患者的降糖治疗模式。
Am J Manag Care. 2022 Aug 1;28(8):e301-e307. doi: 10.37765/ajmc.2022.89152.
2
Trends in glycemic control in patients with insulin therapy compared with non-insulin or no drugs in type 2 diabetes in Japan: a long-term view of real-world treatment between 2002 and 2018 (JDDM 66).在日本,与非胰岛素或无药物治疗相比,接受胰岛素治疗的 2 型糖尿病患者的血糖控制趋势:2002 年至 2018 年真实世界治疗的长期观察(JDDM 66)。
BMJ Open Diabetes Res Care. 2022 May;10(3). doi: 10.1136/bmjdrc-2021-002727.
3
Retrospective nationwide study on the trends in first-line antidiabetic medication for patients with type 2 diabetes in Japan.
回顾性全国研究:日本 2 型糖尿病患者一线抗糖尿病药物的趋势。
J Diabetes Investig. 2022 Feb;13(2):280-291. doi: 10.1111/jdi.13636. Epub 2021 Aug 17.
4
Treatment of Diabetes in Older Adults: An Endocrine Society* Clinical Practice Guideline.老年人糖尿病治疗:内分泌学会*临床实践指南。
J Clin Endocrinol Metab. 2019 May 1;104(5):1520-1574. doi: 10.1210/jc.2019-00198.
5
Effect of iron deficiency anemia on HbA1c in diabetic patients at Tikur Anbessa specialized teaching hospital, Addis Ababa Ethiopia.埃塞俄比亚亚的斯亚贝巴提库尔安贝萨专科医院缺铁性贫血对糖尿病患者糖化血红蛋白的影响。
BMC Hematol. 2019 Jan 9;19:2. doi: 10.1186/s12878-018-0132-1. eCollection 2019.
6
Glycemic targets for elderly patients with diabetes.老年糖尿病患者的血糖目标
Diabetol Int. 2016 Nov 29;7(4):331-333. doi: 10.1007/s13340-016-0293-8. eCollection 2016 Dec.
7
9. Pharmacologic Approaches to Glycemic Treatment: .9. 血糖治疗的药物学方法: 。
Diabetes Care. 2019 Jan;42(Suppl 1):S90-S102. doi: 10.2337/dc19-S009.
8
Persistence of oral antidiabetic treatment for type 2 diabetes characterized by drug class, patient characteristics and severity of renal impairment: A Japanese database analysis.基于药物种类、患者特征和肾功能损害严重程度对 2 型糖尿病患者进行的口服抗糖尿病治疗的持续时间:日本数据库分析。
Diabetes Obes Metab. 2018 Dec;20(12):2830-2839. doi: 10.1111/dom.13463. Epub 2018 Aug 2.
9
Higher Prevalence and Progression Rate of Chronic Kidney Disease in Elderly Patients with Type 2 Diabetes Mellitus.老年2型糖尿病患者慢性肾脏病的患病率及进展率更高。
Diabetes Metab J. 2018 Jun;42(3):224-232. doi: 10.4093/dmj.2017.0065. Epub 2018 May 31.
10
The current status of treatment-related severe hypoglycemia in Japanese patients with diabetes mellitus: A report from the committee on a survey of severe hypoglycemia in the Japan Diabetes Society.日本糖尿病患者中与治疗相关的严重低血糖的现状:日本糖尿病学会严重低血糖调查委员会的报告
J Diabetes Investig. 2018 Mar 2;9(3):642-56. doi: 10.1111/jdi.12790.