Nirmal Nilesh, Koirala Pankaj, Khanashyam Anandu Chandra, Panichayupakaranant Pharkphoom, Septama Abdi Wira
Institute of Nutrition, Mahidol University, 999 Phutthamonthon 4 Road, Salaya, Nakhon Pathom, 73170, Thailand.
Deaprtment of Food Science and Nutrition, University of Minnesota, 1334 Eckles Ave, St Paul, MN 55108, United States.
Saudi J Biol Sci. 2024 Jun;31(6):103999. doi: 10.1016/j.sjbs.2024.103999. Epub 2024 Apr 15.
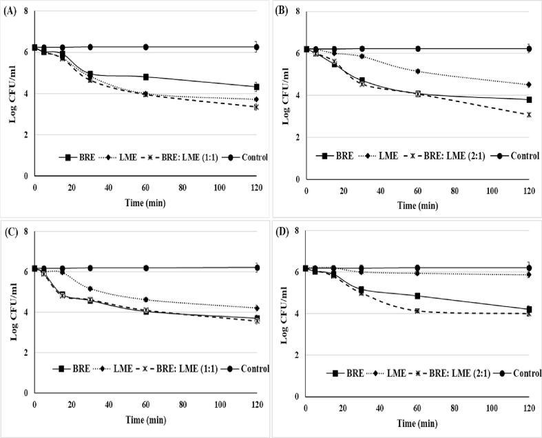
Bacterial contamination and infection widely affect the food, pharmaceutical and biomedical industries. Additionally, these bacteria developed resistance to synthetic antibiotics causing public health danger, globally. Natural plant extracts (NPE) are suitable alternatives to synthetic antibiotics to tackle antimicrobial resistance problems. Furthermore, a blend or combination of different NPEs exerts a wide spectrum of antimicrobial activity. Therefore, the combined effect of brazilin-rich extract (BRE) and lawsome methyl ether (LME) against infection-causing common bacteria were evaluated. BRE had a lower minimum inhibitory concentration (MIC) and minimum bactericidal concentration (MBC) against most of the Gram-negative bacteria ( and ) while LME was active against most of the Gram-positive bacteria ( and ). The combination of BRE and LME at 2:1 and 1:1 concentration significantly reduced the MIC value of each compound as compared to either BRE or LME concentration alone ( < 0.05). Further time-kill kinetics revealed a 3.0-3.5 log reduction in Gram-positive bacteria and a 2.5-3.0 log reduction in Gram-negative bacteria during 120 min of incubation, respectively. Therefore, a combination of BRE and LME was recommended as natural antibacterial to synthetic antibiotics for food and pharmaceutical applications.
细菌污染和感染广泛影响食品、制药和生物医学行业。此外,这些细菌对合成抗生素产生耐药性,在全球范围内造成公共卫生危险。天然植物提取物(NPE)是解决抗菌耐药性问题的合成抗生素的合适替代品。此外,不同NPE的混合物或组合具有广泛的抗菌活性。因此,评估了富含巴西苏木素的提取物(BRE)和律草甲基醚(LME)对引起感染的常见细菌的联合作用。BRE对大多数革兰氏阴性菌(和)具有较低的最低抑菌浓度(MIC)和最低杀菌浓度(MBC),而LME对大多数革兰氏阳性菌(和)有活性。与单独的BRE或LME浓度相比,BRE和LME以2:1和1:1浓度组合显著降低了每种化合物的MIC值(<0.05)。进一步的时间杀灭动力学显示,在孵育120分钟期间,革兰氏阳性菌分别减少3.0-3.5个对数,革兰氏阴性菌减少2.5-3.0个对数。因此,建议将BRE和LME的组合作为食品和制药应用中合成抗生素的天然抗菌剂。