Szaniszló Szebasztián, Csámpai Antal, Horváth Dániel, Tomecz Richárd, Farkas Viktor, Perczel András
Laboratory of Structural Chemistry and Biology, Institute of Chemistry, ELTE Eötvös Loránd University, Pázmány Péter Sétány 1/A, 1117 Budapest, Hungary.
ELTE Hevesy György Ph.D. School of Chemistry, ELTE Eötvös Loránd University, Pázmány Péter Sétány 1/A, 1117 Budapest, Hungary.
Int J Mol Sci. 2024 Apr 9;25(8):4150. doi: 10.3390/ijms25084150.
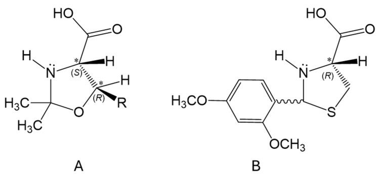
Pseudoproline derivatives such as Thr(ΨPro)-OH are commonly used in peptide synthesis to reduce the likelihood of peptide aggregation and to prevent aspartimide (Asi) formation during the synthesis process. In this study, we investigate notable by-products such as aspartimide formation and an imine derivative of the Thr(ΨPro) moiety observed in flow peptide chemistry synthesis. To gain insight into the formation of these unexpected by-products, we design a series of experiments. Furthermore, we demonstrate the oxazolidine character of the pseudoproline moiety and provide plausible mechanisms for the two-way ring opening of oxazolidine leading to these by-products. In addition, we present evidence that Asi formation appears to be catalyzed by the presence of the pseudoproline moiety. These observed side reactions are attributed to elevated temperature and pressure; therefore, caution is advised when using ΨPro derivatives under such harsh conditions. In addition, we propose a solution whereby thermodynamically controlled Asi formation can be kinetically prevented.
诸如苏氨酸(Ψ脯氨酸)-OH之类的拟脯氨酸衍生物通常用于肽合成中,以降低肽聚集的可能性,并防止在合成过程中形成天冬酰胺(Asi)。在本研究中,我们研究了在流动肽化学合成中观察到的显著副产物,如天冬酰胺的形成以及苏氨酸(Ψ脯氨酸)部分的亚胺衍生物。为了深入了解这些意外副产物的形成,我们设计了一系列实验。此外,我们证明了拟脯氨酸部分的恶唑烷特性,并为恶唑烷双向开环导致这些副产物提供了合理的机制。此外,我们提供的证据表明,拟脯氨酸部分的存在似乎催化了天冬酰胺的形成。这些观察到的副反应归因于温度和压力的升高;因此,在如此苛刻的条件下使用Ψ脯氨酸衍生物时建议谨慎。此外,我们提出了一种解决方案,通过该方案可以从动力学上防止热力学控制的天冬酰胺形成。