Vogelwaid Julian, Hampel Felix, Bayer Martin, Walz Michael, Kutuzova Larysa, Lorenz Günter, Kandelbauer Andreas, Jacob Timo
Mobility Electronics, Engineering Technology Polymer & Packaging, Robert Bosch GmbH, 72770 Reutlingen, Germany.
Fakultät für Naturwissenschaften, Institut für Elektrochemie, Universität Ulm, 89081 Ulm, Germany.
Polymers (Basel). 2024 Apr 11;16(8):1056. doi: 10.3390/polym16081056.
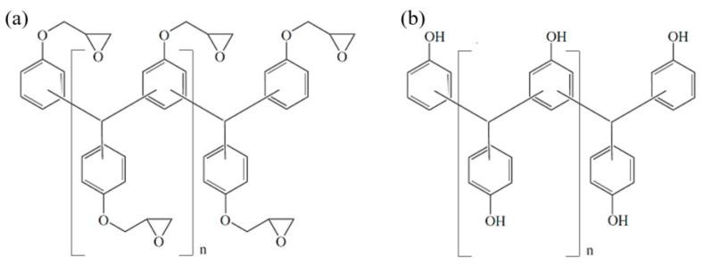
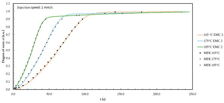
Monitoring of molding processes is one of the most challenging future tasks in polymer processing. In this work, the in situ monitoring of the curing behavior of highly filled EMCs (silica filler content ranging from 73 to 83 wt%) and the effect of filler load on curing kinetics are investigated. Kinetic modelling using the Friedman approach was applied using real-time process data obtained from in situ DEA measurements, and these online kinetic models were compared with curing analysis data obtained from offline DSC measurements. For an autocatalytic fast-reacting material to be processed above the glass transition temperature and for an autocatalytic slow-reacting material to be processed below , time-temperature-transformation (TTT) diagrams were generated to investigate the reaction behavior regarding progression. Incorporating a material containing a lower silica filler content of 10 wt% enabled analysis of the effects of filler content on sensor sensitivity and curing kinetics. Lower silica particle content (and a larger fraction of organic resin, respectively) favored reaction kinetics, resulting in a faster reaction towards . Kinetic analysis using DEA and DSC facilitated the development of highly accurate prediction models using the Friedman model-free approach. Lower silica particle content resulted in enhanced sensitivity of the analytical method, leading, in turn, to more precise prediction models for the degree of cure.
成型过程的监测是聚合物加工中未来最具挑战性的任务之一。在这项工作中,研究了高填充量电子模塑料(二氧化硅填料含量范围为73至83 wt%)固化行为的原位监测以及填料负载对固化动力学的影响。使用从原位介电分析(DEA)测量获得的实时过程数据,采用弗里德曼方法进行动力学建模,并将这些在线动力学模型与从离线差示扫描量热法(DSC)测量获得的固化分析数据进行比较。对于要在玻璃化转变温度以上加工的自催化快速反应材料以及要在玻璃化转变温度以下加工的自催化缓慢反应材料,生成了时间 - 温度 - 转变(TTT)图以研究反应进程的反应行为。加入二氧化硅填料含量为10 wt%的较低含量材料,能够分析填料含量对传感器灵敏度和固化动力学的影响。较低的二氧化硅颗粒含量(以及相应较大比例的有机树脂)有利于反应动力学,导致向固化的反应更快。使用DEA和DSC进行动力学分析,有助于采用弗里德曼无模型方法开发高度准确的预测模型。较低的二氧化硅颗粒含量导致分析方法的灵敏度提高,进而产生更精确的固化程度预测模型。