Gioldasis Christos, Gkamas Apostolos, Vlahos Costas
Chemistry Department, University of Ioannina, 45110 Ioannina, Greece.
Polymers (Basel). 2024 Apr 17;16(8):1127. doi: 10.3390/polym16081127.
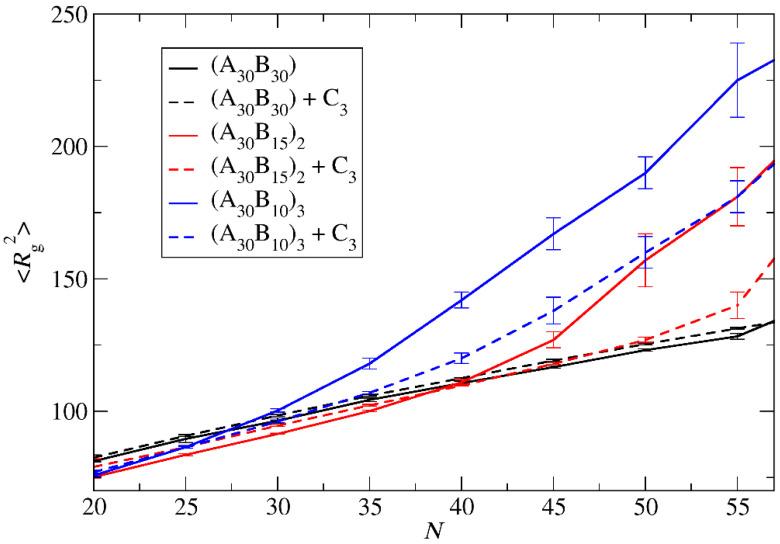
Utilizing molecular dynamics simulations, we explored the demicellization and cargo release dynamics of linear and miktoarm copolymers, featuring one, two, and three hydrophobic blocks or branches, each capable of head-to-tail depolymerization. Our findings revealed that, under stoichiometric trigger molecule concentrations, miktoarms with three branches exhibited consistently faster depolymerization rates than those with two branches and linear copolymers. Conversely, at constant trigger molecule concentrations, the depolymerization rates of copolymers exhibited more complex behaviors influenced by two opposing factors: the excess of trigger molecules, which increased with a decrease in the number of hydrophobic branches or blocks, and simultaneous head-to-tail depolymerization, which intensified with an increasing number of branches. Our study elucidates the intricate interplay between copolymer architecture, trigger molecule concentrations, and depolymerization dynamics, providing valuable insights for the rational design of amphiphilic copolymers with tunable demicellization and cargo release properties.
利用分子动力学模拟,我们研究了具有一个、两个和三个疏水嵌段或支链的线性和多臂共聚物的去胶束化和载药释放动力学,每个疏水嵌段或支链都能够进行头对尾解聚。我们的研究结果表明,在化学计量的触发分子浓度下,具有三个支链的多臂共聚物的解聚速率始终比具有两个支链的多臂共聚物和线性共聚物更快。相反,在恒定的触发分子浓度下,共聚物的解聚速率表现出受两个相反因素影响的更复杂行为:触发分子的过量,其随着疏水支链或嵌段数量的减少而增加;以及同时发生的头对尾解聚,其随着支链数量的增加而加剧。我们的研究阐明了共聚物结构、触发分子浓度和解聚动力学之间的复杂相互作用,为合理设计具有可调去胶束化和载药释放特性的两亲性共聚物提供了有价值的见解。