Department of Vascular Medicine, University Medical Centre Utrecht, Utrecht 3584 CX, the Netherlands.
Mount Sinai Heart, Icahn School of Medicine at Mount Sinai Health System, NY 10029, USA.
Eur Heart J Cardiovasc Pharmacother. 2024 Oct 4;10(6):488-499. doi: 10.1093/ehjcvp/pvae030.
Icosapent ethyl lowers triglycerides and significantly reduces major adverse cardiovascular events (MACE), though treatment effects may vary between individuals. This study aimed to determine the relative and absolute effects of icosapent ethyl on MACE according to baseline cardiovascular disease (CVD) risk in patients with atherosclerotic cardiovascular disease (ASCVD).
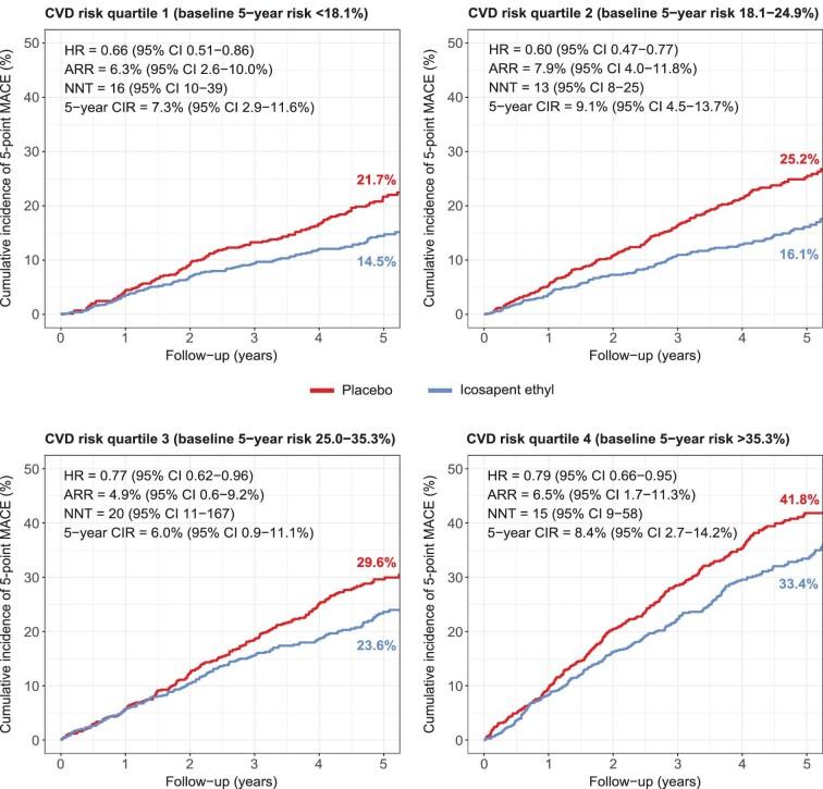
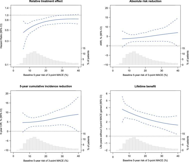
Participants from the Reduction of Cardiovascular Events with Icosapent Ethyl-Intervention Trial (REDUCE-IT) with ASCVD were included (n = 5785). The primary outcome was 3-point MACE, i.e. non-fatal myocardial infarction, non-fatal stroke, or cardiovascular death. Baseline 5-year risk of MACE was estimated using the European Society of Cardiology (ESC) guideline-recommended SMART2 risk score. Modification of the relative treatment effects of icosapent ethyl by baseline risk was assessed using Cox proportional hazards models, including a treatment-by-risk interaction. Next, treatment effects were assessed stratified by quartiles of baseline risk. During a median follow-up of 4.8 years (interquartile range 3.2-5.3), MACE occurred in 361 vs. 489 patients in the icosapent ethyl vs. placebo group [95% confidence interval (CI)]; hazard ratio (HR) 0.72 (0.63-0.82), absolute risk reduction (ARR) 4.4% (2.6-6.2%), number needed to treat (NNT) 23 (16-38), and 5-year Kaplan-Meier estimated cumulative incidence reduction (CIR) 5.7% (3.5-7.9%). Icosapent ethyl significantly reduced MACE in all risk quartiles, with an HR (95% CI) of 0.62 (0.43-0.88), 0.66 (0.48-0.92), 0.69 (0.53-0.90), and 0.78 (0.63-0.96), respectively (P for treatment-by-risk interaction = 0.106). The ARR (95% CI) increased across risk quartiles, i.e. was 3.9% (1.0-6.8%), 4.3% (1.2-7.3%), 5.1% (1.4-8.7%), and 5.6% (1.3-10.0%), respectively. This translates to NNTs (95% CI) of 26 (15-98), 24 (14-84), 20 (11-70), and 18 (10-77). The 5-year CIR (95% CI) was 4.8% (1.3-8.2%), 5.0% (1.3-8.7%), 6.1% (1.7-10.5%), and 7.7% (2.3-13.2%), respectively. Consistent results were obtained for 5-point MACE, additionally including coronary revascularization and unstable angina.
Among patients with ASCVD and elevated triglyceride levels, icosapent ethyl significantly reduces the risk of MACE irrespective of baseline CVD risk, though absolute benefits are largest for patients at the highest risk.
依泽替米贝可降低甘油三酯,并显著减少主要不良心血管事件(MACE),但治疗效果可能因人而异。本研究旨在根据动脉粥样硬化性心血管疾病(ASCVD)患者的基线心血管疾病(CVD)风险,确定依泽替米贝对 MACE 的相对和绝对影响。
本研究纳入了来自依泽替米贝降低心血管事件的干预试验(REDUCE-IT)的 ASCVD 患者(n=5785)。主要结局为 3 点 MACE,即非致死性心肌梗死、非致死性卒中和心血管死亡。使用欧洲心脏病学会(ESC)指南推荐的 SMART2 风险评分估计 MACE 的 5 年基线风险。使用 Cox 比例风险模型评估依泽替米贝治疗效果的相对变化与基线风险的关系,包括治疗与风险的交互作用。然后,根据基线风险的四分位间距评估治疗效果。在中位随访 4.8 年(四分位间距 3.2-5.3)期间,依泽替米贝组 361 例患者发生 MACE,安慰剂组 489 例(95%置信区间 [CI]);风险比(HR)为 0.72(0.63-0.82),绝对风险降低(ARR)为 4.4%(2.6-6.2%),需要治疗的患者数(NNT)为 23(16-38),5 年 Kaplan-Meier 估计累积发病率降低(CIR)为 5.7%(3.5-7.9%)。依泽替米贝在所有风险四分位间距均显著降低 MACE,HR(95%CI)分别为 0.62(0.43-0.88)、0.66(0.48-0.92)、0.69(0.53-0.90)和 0.78(0.63-0.96)(P 治疗与风险交互作用=0.106)。ARR(95%CI)随风险四分位间距增加而增加,即分别为 3.9%(1.0-6.8%)、4.3%(1.2-7.3%)、5.1%(1.4-8.7%)和 5.6%(1.3-10.0%)。这分别转化为 NNT(95%CI)为 26(15-98)、24(14-84)、20(11-70)和 18(10-77)。5 年 CIR(95%CI)分别为 4.8%(1.3-8.2%)、5.0%(1.3-8.7%)、6.1%(1.7-10.5%)和 7.7%(2.3-13.2%)。对于包括冠状动脉血运重建和不稳定型心绞痛在内的 5 点 MACE,也得到了一致的结果。
在 ASCVD 且甘油三酯水平升高的患者中,依泽替米贝可显著降低 MACE 风险,与基线 CVD 风险无关,但对于风险最高的患者,绝对获益最大。