Brigham and Women's Hospital Heart and Vascular Center Harvard Medical School Boston MA.
Université de ParisAP-HP (Assistance Publique-Hôpitaux de Paris)Hôpital BichatFACT (French Alliance for Cardiovascular Trials)INSERM U-1148 Paris France.
J Am Heart Assoc. 2022 Mar 15;11(6):e022937. doi: 10.1161/JAHA.121.022937. Epub 2022 Mar 9.
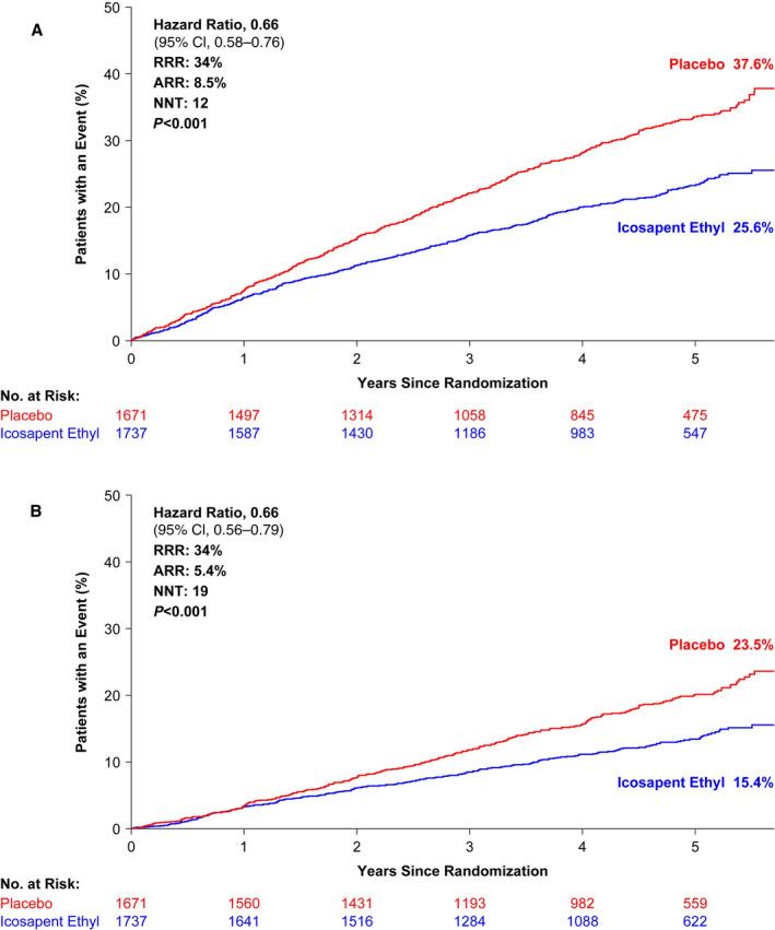
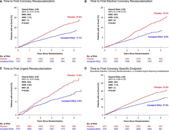
Background Patients who undergo percutaneous coronary intervention (PCI) are at increased risk for recurrent cardiovascular events despite aggressive medical therapy. Methods and Results This post hoc analysis focused on the subset of patients with prior PCI enrolled in REDUCE-IT (Reduction of Cardiovascular Events With Icosapent Ethyl-Intervention Trial), a multicenter, randomized, double-blind, placebo-controlled trial of icosapent ethyl versus placebo. Icosapent ethyl was added to statins in patients with low-density lipoprotein cholesterol <100 mg/dL and fasting triglycerides 135-499 mg/dL. The primary end point was a composite of cardiovascular death, nonfatal myocardial infarction, nonfatal stroke, coronary revascularization, or unstable angina requiring hospitalization. There were 8179 patients randomized in REDUCE-IT followed for a median of 4.9 years, and 3408 (41.7%) of them had a prior PCI with a median follow-up of 4.8 years. These patients were randomized a median of 2.9 years (11 days to 30.7 years) after PCI. Among patients treated with icosapent ethyl versus placebo, there was a 34% reduction in the primary composite end point (hazard ratio [HR], 0.66; 95% CI, 0.58-0.76; <0.001; number needed to treat=12) and a 34% reduction in the key secondary composite end point of cardiovascular death, nonfatal myocardial infarction, or nonfatal stroke (HR, 0.66; 95% CI, 0.56-0.79; <0.001; NNT=19) versus placebo. Similarly, large reductions occurred in total coronary revascularizations and revascularization subtypes. There was also a 39% reduction in total events (rate ratio, 0.61; 95% CI, 0.52-0.72; <0.001). Conclusions Among patients treated with statins with elevated triglycerides and a history of prior PCI, icosapent ethyl substantially reduced the risk of recurrent events during an average of ~5 years of follow-up with a number needed to treat of only 12. Registration URL: https://www.clinicaltrials.gov; Unique identifier: NCT01492361.
尽管接受了强化药物治疗,经皮冠状动脉介入治疗(PCI)的患者仍存在较高的心血管事件复发风险。
本事后分析集中于 REDUCE-IT 试验(依泽替米贝降低心血管事件试验)中既往接受过 PCI 的亚组患者,该试验是一项多中心、随机、双盲、安慰剂对照试验,比较了icosapent ethyl 与安慰剂。对于 LDL 胆固醇<100mg/dL 且空腹甘油三酯 135-499mg/dL 的患者,icosapent ethyl 加用他汀类药物。依泽替米贝治疗组患者随机分组,中位随访时间为 4.9 年,其中 8179 例患者(41.7%)既往接受过 PCI,中位随访时间为 4.8 年。这些患者 PCI 后中位随访时间为 2.9 年(11 天至 30.7 年)。与安慰剂组相比,icosapent ethyl 治疗组主要复合终点(心血管死亡、非致死性心肌梗死、非致死性卒中和血运重建或需要住院治疗的不稳定型心绞痛)降低 34%(风险比[HR],0.66;95%CI,0.58-0.76;<0.001;需要治疗人数=12),主要次要复合终点(心血管死亡、非致死性心肌梗死或非致死性卒中等)降低 34%(HR,0.66;95%CI,0.56-0.79;<0.001;NNT=19)。同样,全因血运重建和血运重建亚组也有较大幅度降低。总事件发生率降低 39%(率比,0.61;95%CI,0.52-0.72;<0.001)。
在接受他汀类药物治疗且甘油三酯升高、既往有 PCI 史的患者中,依泽替米贝治疗可显著降低平均约 5 年随访期间的复发事件风险,需要治疗人数仅为 12。