Kostandova Natalya, Mutembo Simon, Prosperi Christine, Mwansa Francis Dien, Nakazwe Chola, Namukoko Harriet, Nachinga Bertha, Chongwe Gershom, Chilumba Innocent, Matakala Kalumbu H, Musukwa Gloria, Hamahuwa Mutinta, Mufwambi Webster, Matoba Japhet, Situtu Kenny, Mutale Irene, Kong Alex C, Simulundu Edgar, Ndubani Phillimon, Hasan Alvira Z, Truelove Shaun A, Winter Amy K, Carcelen Andrea C, Lau Bryan, Moss William J, Wesolowski Amy
Department of Epidemiology, Johns Hopkins University Bloomberg School of Public Health, Baltimore, Maryland, United States of America.
Department of International Health, International Vaccine Access Center, Johns Hopkins University Bloomberg School of Public Health, Baltimore, Maryland, United States of America.
PLOS Glob Public Health. 2024 Apr 29;4(4):e0003072. doi: 10.1371/journal.pgph.0003072. eCollection 2024.
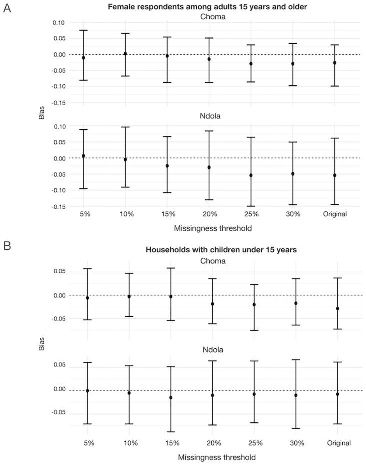
Community-based serological studies are increasingly relied upon to measure disease burden, identify population immunity gaps, and guide control and elimination strategies; however, there is little understanding of the potential for and impact of sampling biases on outcomes of interest. As part of efforts to quantify measles immunity gaps in Zambia, a community-based serological survey using stratified multi-stage cluster sampling approach was conducted in Ndola and Choma districts in May-June 2022, enrolling 1245 individuals. We carried out a follow-up study among individuals missed from the sampling frame of the serosurvey in July-August 2022, enrolling 672 individuals. We assessed the potential for and impact of biases in the community-based serosurvey by i) estimating differences in characteristics of households and individuals included and excluded (77% vs 23% of households) from the sampling frame of the serosurvey and ii) evaluating the magnitude these differences make on healthcare-seeking behavior, vaccination coverage, and measles seroprevalence. We found that missed households were 20% smaller and 25% less likely to have children. Missed individuals resided in less wealthy households, had different distributions of sex and occupation, and were more likely to seek care at health facilities. Despite these differences, simulating a survey in which missed households were included in the sampling frame resulted in less than a 5% estimated bias in these outcomes. Although community-based studies are upheld as the gold standard study design in assessing immunity gaps and underlying community health characteristics, these findings underscore the fact that sampling biases can impact the results of even well-conducted community-based surveys. Results from these studies should be interpreted in the context of the study methodology and challenges faced during implementation, which include shortcomings in establishing accurate and up-to-date sampling frames. Failure to account for these shortcomings may result in biased estimates and detrimental effects on decision-making.
基于社区的血清学研究越来越多地被用于衡量疾病负担、识别人群免疫差距以及指导防控和消除策略;然而,对于抽样偏差对感兴趣结果的可能性和影响却知之甚少。作为量化赞比亚麻疹免疫差距工作的一部分,2022年5月至6月在恩多拉和乔马地区采用分层多阶段整群抽样方法进行了一项基于社区的血清学调查,共纳入1245人。2022年7月至8月,我们对血清学调查抽样框架中遗漏的个体进行了一项随访研究,共纳入672人。我们通过以下方式评估了基于社区的血清学调查中偏差的可能性和影响:i)估计血清学调查抽样框架中纳入和排除的家庭及个体特征的差异(家庭比例分别为77%和23%);ii)评估这些差异对就医行为、疫苗接种覆盖率和麻疹血清阳性率的影响程度。我们发现,遗漏的家庭规模小20%,有孩子的可能性低25%。遗漏的个体居住在较不富裕的家庭,性别和职业分布不同,并且更有可能在医疗机构就医。尽管存在这些差异,但模拟一项将遗漏家庭纳入抽样框架的调查,这些结果的估计偏差不到5%。尽管基于社区的研究被视为评估免疫差距和潜在社区健康特征的金标准研究设计,但这些发现强调了一个事实,即抽样偏差甚至会影响执行良好的基于社区的调查结果。这些研究结果应结合研究方法以及实施过程中面临的挑战来解读,这些挑战包括建立准确和最新抽样框架方面的不足。不考虑这些不足可能会导致估计偏差,并对决策产生不利影响。