Suppr超能文献

全球范围内 SARS-CoV-2 血清流行率:系统评价和荟萃分析。

SARS-CoV-2 seroprevalence worldwide: a systematic review and meta-analysis.

机构信息

Infectious Diseases and Tropical Medicine Research Centre, Health Research Institute, Babol University of Medical Sciences, Babol, Iran.

Department of Biostatistics and Epidemiology, School of Public Health, Babol University of Medical Sciences, Babol, Iran.

出版信息

Clin Microbiol Infect. 2021 Mar;27(3):331-340. doi: 10.1016/j.cmi.2020.10.020. Epub 2020 Oct 24.

Abstract

OBJECTIVES

COVID-19 has been arguably the most important public health concern worldwide in 2020, and efforts are now escalating to suppress or eliminate its spread. In this study we undertook a meta-analysis to estimate the global and regional seroprevalence rates in humans of the severe acute respiratory syndrome coronavirus 2 (SARS-CoV-2), and to assess whether seroprevalence is associated with geographical, climatic and/or sociodemographic factors.

METHODS

We systematically reviewed PubMed, Scopus, Embase, medRxiv and bioRxiv databases for preprints or peer-reviewed articles (up to 14 August 2020). Study eligibility criteria were population-based studies describing the prevalence of anti-SARS-CoV-2 (IgG and/or IgM) serum antibodies. Participants were people from different socioeconomic and ethnic backgrounds (from the general population), whose prior COVID-19 status was unknown and who were tested for the presence of anti-SARS-CoV-2 serum antibodies. We used a random-effects model to estimate pooled seroprevalence, and then extrapolated the findings to the global population (for 2020). Subgroup and meta-regression analyses explored potential sources of heterogeneity in the data, and relationships between seroprevalence and sociodemographic, geographical and/or climatic factors.

RESULTS

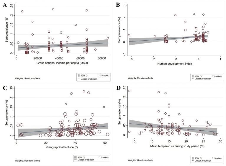
In total, 47 studies involving 399 265 people from 23 countries met the inclusion criteria. Heterogeneity (I = 99.4%, p < 0.001) was seen among studies; SARS-CoV-2 seroprevalence in the general population varied from 0.37% to 22.1%, with a pooled estimate of 3.38% (95%CI 3.05-3.72%; 15 879/399 265). On a regional level, seroprevalence varied from 1.45% (0.95-1.94%, South America) to 5.27% (3.97-6.57%, Northern Europe), although some variation appeared to relate to the serological assay used. The findings suggested an association of seroprevalence with income levels, human development indices, geographic latitudes and/or climate. Extrapolating to the 2020 world population, we estimated that 263.5 million individuals had been exposed or infected at the time of this study.

CONCLUSIONS

This study showed that SARS-CoV-2 seroprevalence varied markedly among geographic regions, as might be expected early in a pandemic. Longitudinal surveys to continually monitor seroprevalence around the globe will be critical to support prevention and control efforts, and might indicate levels of endemic stability or instability in particular countries and regions.

摘要

目的

2020 年,新冠肺炎无疑是全球最重要的公共卫生关注点,目前正在加紧努力抑制或消除其传播。在这项研究中,我们进行了荟萃分析,以估算全球和区域人类中严重急性呼吸综合征冠状病毒 2(SARS-CoV-2)的血清流行率,并评估血清流行率是否与地理、气候和/或社会人口因素相关。

方法

我们系统地检索了 PubMed、Scopus、Embase、medRxiv 和 bioRxiv 数据库中的预印本或同行评审文章(截至 2020 年 8 月 14 日)。研究纳入标准为描述抗 SARS-CoV-2(IgG 和/或 IgM)血清抗体流行率的基于人群的研究。参与者为来自不同社会经济和种族背景(来自一般人群)的人群,他们先前的 COVID-19 状况未知,并且接受了 SARS-CoV-2 血清抗体存在的检测。我们使用随机效应模型来估计汇总血清流行率,然后将研究结果外推到全球人群(2020 年)。亚组和荟萃回归分析探索了数据中潜在的异质性来源,以及血清流行率与社会人口、地理和/或气候因素之间的关系。

结果

共有来自 23 个国家的 47 项研究符合纳入标准,涉及 399265 人。研究之间存在高度异质性(I=99.4%,p<0.001);一般人群中 SARS-CoV-2 的血清流行率从 0.37%到 22.1%不等,汇总估计值为 3.38%(95%CI 3.05-3.72%;15879/399265)。在区域水平上,血清流行率从南美洲的 1.45%(0.95-1.94%)到北欧的 5.27%(3.97-6.57%)不等,尽管一些差异似乎与使用的血清学检测方法有关。研究结果表明,血清流行率与收入水平、人类发展指数、地理纬度和/或气候有关。将研究结果外推到 2020 年世界人口,我们估计在研究时,有 2.635 亿人已经接触或感染。

结论

本研究表明,SARS-CoV-2 血清流行率在地理区域之间差异显著,这在大流行早期是可以预期的。对全球范围内血清流行率进行连续监测的纵向调查对于支持预防和控制工作至关重要,并且可能表明特定国家和地区的流行稳定性或不稳定性水平。

https://cdn.ncbi.nlm.nih.gov/pmc/blobs/8ef0/7584920/492b71fd5ffb/gr1_lrg.jpg

文献检索

告别复杂PubMed语法,用中文像聊天一样搜索,搜遍4000万医学文献。AI智能推荐,让科研检索更轻松。

立即免费搜索

文件翻译

保留排版,准确专业,支持PDF/Word/PPT等文件格式,支持 12+语言互译。

免费翻译文档

深度研究

AI帮你快速写综述,25分钟生成高质量综述,智能提取关键信息,辅助科研写作。

立即免费体验