Suppr超能文献

出院时口服抗凝药物管理的协调(COACHeD):试点随机对照试验。

Coordination of oral anticoagulant care at hospital discharge (COACHeD): pilot randomised controlled trial.

机构信息

Division of Clinical Pharmacology and Toxicology, Department of Medicine, McMaster University, Hamilton, Ontario, Canada

Clinical Pharmacology Research, Research Institute of St. Joes Hamilton, Hamilton, Ontario, Canada.

出版信息

BMJ Open. 2024 May 1;14(5):e079353. doi: 10.1136/bmjopen-2023-079353.

Abstract

OBJECTIVES

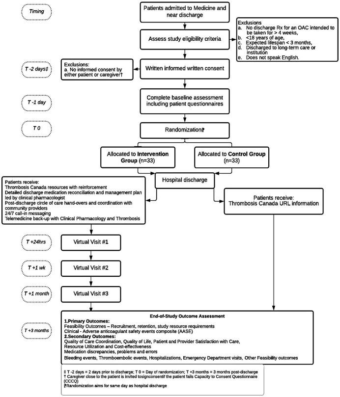
To evaluate whether a focused, expert medication management intervention is feasible and potentially effective in preventing anticoagulation-related adverse events for patients transitioning from hospital to home.

DESIGN

Randomised, parallel design.

SETTING

Medical wards at six hospital sites in southern Ontario, Canada.

PARTICIPANTS

Adults 18 years of age or older being discharged to home on an oral anticoagulant (OAC) to be taken for at least 4 weeks.

INTERVENTIONS

Clinical pharmacologist-led intervention, including a detailed discharge medication management plan, a circle of care handover and early postdischarge virtual check-up visits to 1 month with 3-month follow-up. The control group received the usual care.

OUTCOMES MEASURES

Primary outcomes were study feasibility outcomes (recruitment, retention and cost per patient). Secondary outcomes included adverse anticoagulant safety events composite, quality of transitional care, quality of life, anticoagulant knowledge, satisfaction with care, problems with medications and health resource utilisation.

RESULTS

Extensive periods of restriction of recruitment plus difficulties accessing patients at the time of discharge negatively impacted feasibility, especially cost per patient recruited. Of 845 patients screened, 167 were eligible and 56 were randomised. The mean age (±SD) was 71.2±12.5 years, 42.9% females, with two lost to follow-up. Intervention patients were more likely to rate their ability to manage their OAC as improved (17/27 (63.0%) vs 7/22 (31.8%), OR 3.6 (95% CI 1.1 to 12.0)) and their continuity of care as improved (21/27 (77.8%) vs 2/22 (9.1%), OR 35.0 (95% CI 6.3 to 194.2)). Fewer intervention patients were taking one or more inappropriate medications (7 (22.5%) vs 15 (60%), OR 0.19 (95% CI 0.06 to 0.62)).

CONCLUSION

This pilot randomised controlled trial suggests that a transitional care intervention at hospital discharge for older adults taking OACs was well received and potentially effective for some surrogate outcomes, but overly costly to proceed to a definitive large trial.

TRIAL REGISTRATION NUMBER

NCT02777047.

摘要

目的

评估针对从医院过渡到家庭的患者的集中、专家药物管理干预是否可行且可能有效,以预防抗凝相关不良事件。

设计

随机平行设计。

地点

加拿大安大略省南部的六家医院的医疗病房。

参与者

年龄在 18 岁及以上,正在服用口服抗凝剂(OAC)出院,预计至少服用 4 周的成年人。

干预措施

临床药理学家主导的干预措施,包括详细的出院药物管理计划、护理交接圈和早期出院后的虚拟检查,持续到 1 个月,然后进行 3 个月的随访。对照组接受常规护理。

主要结果

主要结果是研究可行性结果(招募、保留和每位患者的成本)。次要结果包括不良抗凝安全性事件综合指标、过渡性护理质量、生活质量、抗凝知识、护理满意度、药物问题和卫生资源利用。

结果

广泛的招募限制期加上在出院时难以接触到患者,严重影响了可行性,尤其是每位招募患者的成本。在 845 名筛选患者中,有 167 名符合条件,56 名被随机分配。平均年龄(±标准差)为 71.2±12.5 岁,42.9%为女性,有 2 名患者失访。干预组更有可能表示他们管理 OAC 的能力有所提高(17/27(63.0%)比 7/22(31.8%),OR 3.6(95%CI 1.1 至 12.0))和他们的护理连续性有所提高(21/27(77.8%)比 2/22(9.1%),OR 35.0(95%CI 6.3 至 194.2))。较少的干预组患者服用一种或多种不适当的药物(7(22.5%)比 15(60%),OR 0.19(95%CI 0.06 至 0.62))。

结论

这项针对服用 OAC 的老年患者的出院后过渡性护理干预的初步随机对照试验表明,该干预措施受到欢迎,并且对一些替代结果可能有效,但成本过高,无法进行大规模确证试验。

试验注册号

NCT02777047。

https://cdn.ncbi.nlm.nih.gov/pmc/blobs/cd0f/11086462/37297d83e61c/bmjopen-2023-079353f01.jpg

文献AI研究员

20分钟写一篇综述,助力文献阅读效率提升50倍。

立即体验

用中文搜PubMed

大模型驱动的PubMed中文搜索引擎

马上搜索

文档翻译

学术文献翻译模型,支持多种主流文档格式。

立即体验