Suppr超能文献

在真实世界的慢性髓性白血病队列中,初始分子反应可预测深层分子反应,但不能预测无治疗缓解维持。

The initial molecular response predicts the deep molecular response but not treatment-free remission maintenance in a real-world chronic myeloid leukemia cohort.

机构信息

Hématologie FBeirorlaongdiq, uFer,a nCcHe U Clermont-Ferrand, Clermont; Equipe d'Accueil EA7453 CHELTER, Université Clermont Auvergne, Clermont-Ferrand.

Unité de Biostatistiques, DRCI, CHU Clermont-Ferrand, Clermont-Ferrand.

出版信息

Haematologica. 2024 Sep 1;109(9):2893-2907. doi: 10.3324/haematol.2023.284860.

Abstract

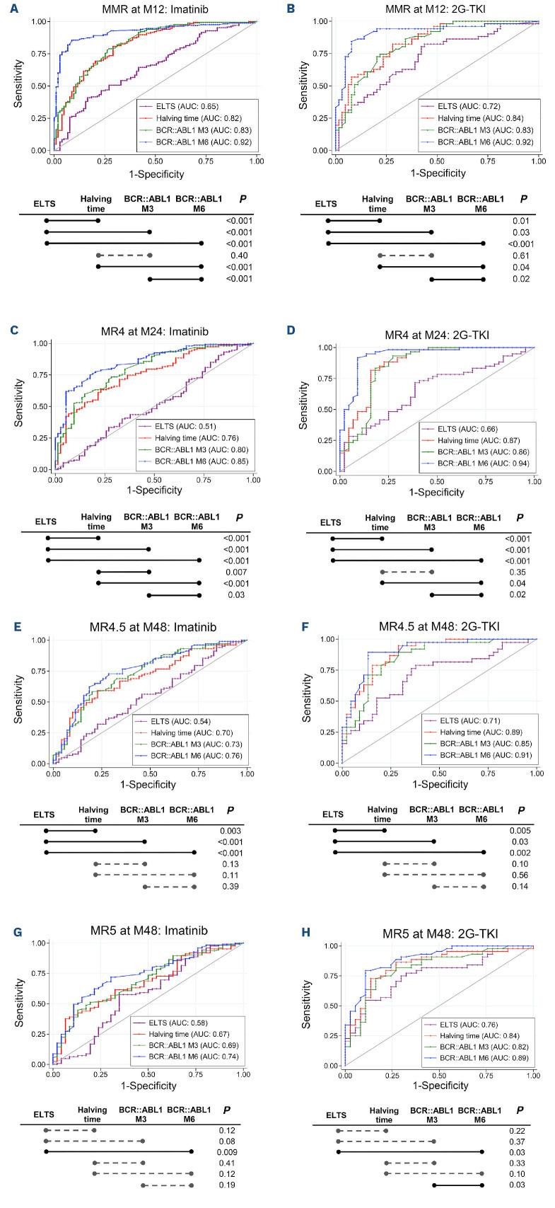
In chronic myeloid leukemia, the identification of early molecular predictors of stable treatment-free remission (TFR) after tyrosine kinase inhibitor (TKI) discontinuation is challenging. The predictive values of residual disease (BCR::ABL1 quantification) at month 3 and 6 and more recently, BCR::ABL1 transcript halving time (HT) have been described, but no study compared the predictive value of different early parameters. Using a real-world cohort of 408 patients, we compared the performance of the EUTOS long-term survival (ELTS) score, BCR::ABL1 HT, and residual disease at month 3 and 6 to predict the molecular response, achievement of the TKI discontinuation criteria, and TFR maintenance. The performances of BCR::ABL1 HT and residual disease at month 3 were similar. Residual disease at month 6 displayed the best performance for predicting the optimal response (area under the ROC curve between 0.81 and 0.92; cut-off values: 0.11% for MR4 at month 24 and 0.12% for MR4.5 at month 48). Conversely, no early parameter predicted reaching the TKI discontinuation criteria and TFR maintenance. We obtained similar results when patients were divided in subgroups by first-line treatment (imatinib vs. second-generation TKI [2G-TKI]). We identified a relationship between ELTS score, earlier milestones and TFR maintenance only in the 2G-TKI group. In conclusion, this first comparative study of early therapeutic response parameters showed that they are excellent indicators of TKI efficacy (BCR::ABL1 transcript reduction) and best responders. Conversely, they did not predict the achievement of the TKI discontinuation criteria and TFR maintenance, suggesting that other parameters are involved in TFR maintenance.

摘要

在慢性髓性白血病中,确定酪氨酸激酶抑制剂(TKI)停药后稳定的无治疗缓解(TFR)的早期分子预测因子具有挑战性。已经描述了残留疾病(BCR::ABL1 定量)在第 3 个月和第 6 个月以及最近的 BCR::ABL1 转录减半时间(HT)的预测值,但没有研究比较不同早期参数的预测价值。使用 408 例真实世界患者队列,我们比较了 EUTOS 长期生存(ELTS)评分、BCR::ABL1 HT 和第 3 个月和第 6 个月的残留疾病对分子反应、达到 TKI 停药标准和 TFR 维持的预测价值。BCR::ABL1 HT 和第 3 个月的残留疾病的性能相似。第 6 个月的残留疾病在预测最佳反应方面表现最佳(ROC 曲线下面积在 0.81 到 0.92 之间;24 个月时 MR4 的临界值为 0.11%,48 个月时 MR4.5 的临界值为 0.12%)。相反,没有早期参数可以预测达到 TKI 停药标准和 TFR 维持。当根据一线治疗(伊马替尼与第二代 TKI [2G-TKI])将患者分组时,我们获得了类似的结果。我们仅在 2G-TKI 组中发现了 ELTS 评分、早期里程碑和 TFR 维持之间的关系。总之,这项关于早期治疗反应参数的首次比较研究表明,它们是 TKI 疗效(BCR::ABL1 转录减少)和最佳反应者的优秀指标。相反,它们不能预测 TKI 停药标准和 TFR 维持的达成,这表明 TFR 维持涉及其他参数。

https://cdn.ncbi.nlm.nih.gov/pmc/blobs/a732/11367206/c3dd0649e1b2/1092893.fig1.jpg

文献AI研究员

20分钟写一篇综述,助力文献阅读效率提升50倍。

立即体验

用中文搜PubMed

大模型驱动的PubMed中文搜索引擎

马上搜索

文档翻译

学术文献翻译模型,支持多种主流文档格式。

立即体验