Suppr超能文献

用于在无溶剂、无卤化物和无金属条件下CO与环氧化物环加成反应的萨罗芬型有机催化剂。

Salophen-type Organocatalysts for the Cycloaddition of CO and Epoxides under Solvent, Halide, and Metal-Free Conditions.

作者信息

Fonseca-López Daniela, Ezenarro-Salcedo David, Zapata-Rivera Jhon, Rojas René S, Hurtado John J

机构信息

Laboratorio de Química Inorgánica, Catálisis y Bioinorgánica. Departamento de Química, Facultad de Ciencias, Universidad de los Andes, Bogotá 111711, Colombia.

Departamento de Química, Facultad de Ciencias Naturales y Exactas, Universidad del Valle, Cali 760042, Colombia.

出版信息

ACS Omega. 2024 Apr 15;9(17):19385-19394. doi: 10.1021/acsomega.4c00530. eCollection 2024 Apr 30.

Abstract

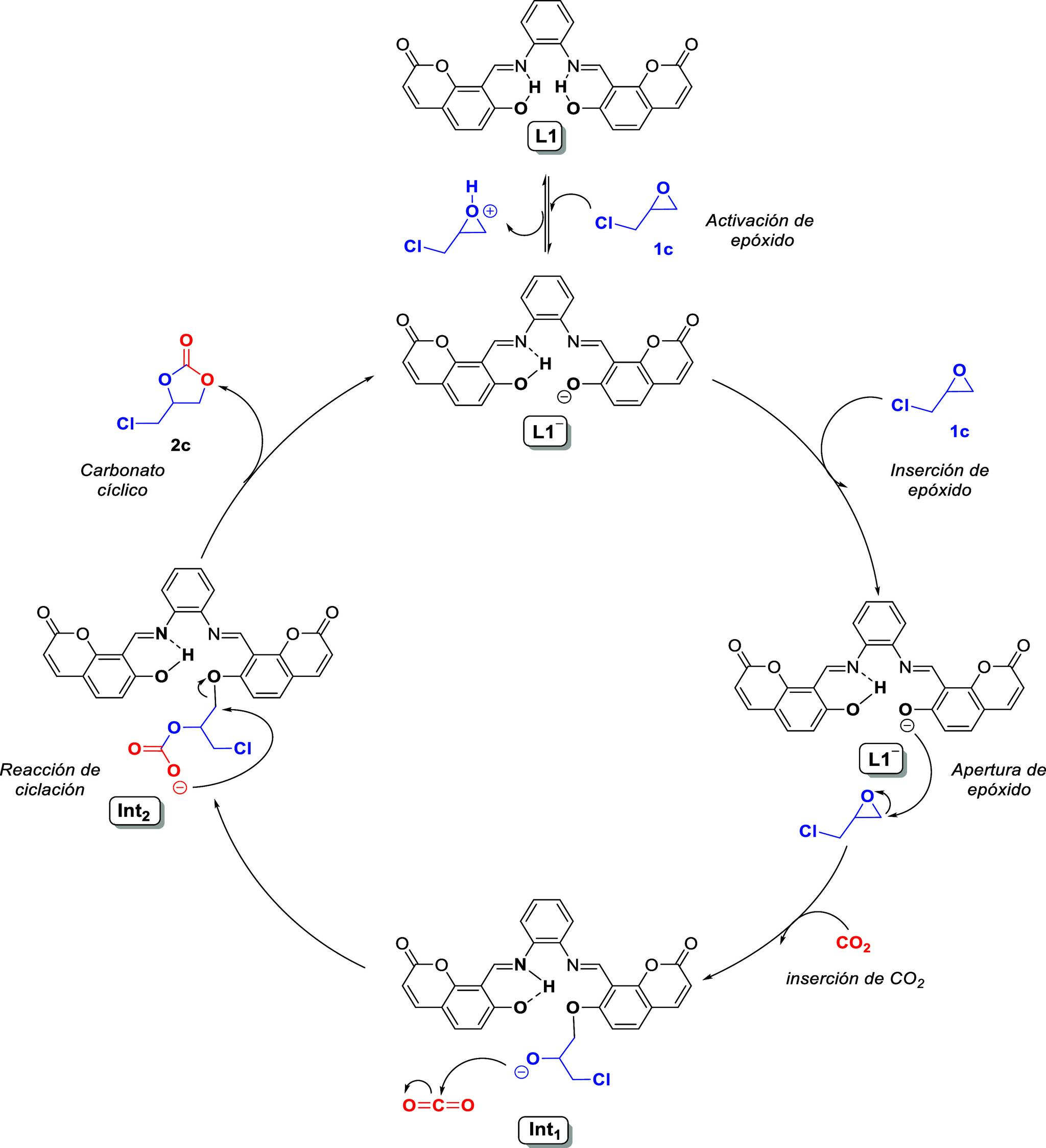
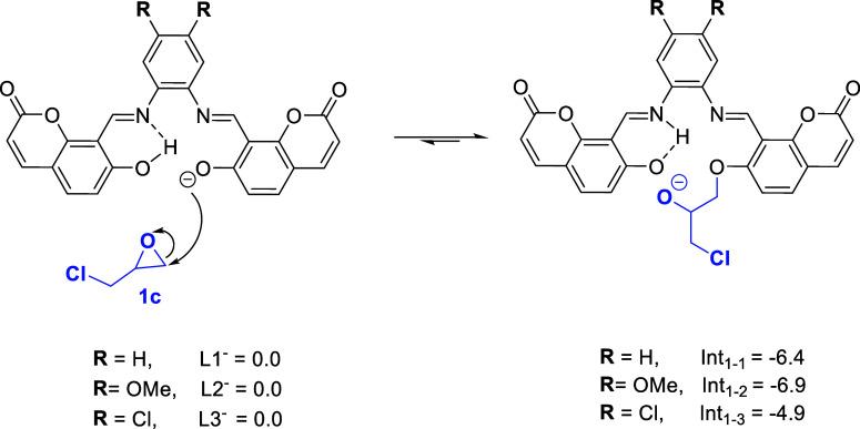
8-Formyl-7-hydroxycoumarin () and their derived salophen-type organocatalysts , , and were used for the synthesis of cyclic carbonates from carbon dioxide (CO) and epoxides under solvent-, halide-, and metal-free conditions. According to previous optimization tests, and had the best catalytic activity presenting 89 and 92% conversion toward the synthesis of 3-chloropropylene carbonate () using 8 bar CO, 100 °C at 9 h. Therefore, they were used as organocatalysts to complete the catalytic screening with 11 terminal epoxides () exhibiting the highest TOF values of 20 and 22 h using and , respectively. Similarly, they were tested with an internal epoxide, such as cyclohexene oxide () exhibiting 72% conversion, becoming the first salophen organocatalyst to obtain -cyclohexane carbonate () in the absence of a cocatalyst. In addition, a reaction mechanism was proposed for the formation of cyclic carbonates based on experimental data and computational techniques; these contributed in establishing a probable role of CO pressure along the catalysis and the hydrogen bonds that favor the stabilization of the different intermediates of the reaction.

摘要

8-甲酰基-7-羟基香豆素()及其衍生的双水杨醛型有机催化剂、和被用于在无溶剂、无卤化物和无金属的条件下,由二氧化碳(CO₂)和环氧化合物合成环状碳酸酯。根据之前的优化测试,和具有最佳的催化活性,在8巴CO₂、100℃反应9小时的条件下,合成3-氯碳酸丙烯酯()的转化率分别为89%和92%。因此,它们被用作有机催化剂,对11种末端环氧化合物()进行催化筛选,使用和时,其最高TOF值分别为20 h⁻¹和22 h⁻¹。同样,它们也用一种内环氧,如环氧环己烷()进行测试,转化率为72%,成为在没有助催化剂的情况下获得碳酸-环己酯()的首个双水杨醛有机催化剂。此外,基于实验数据和计算技术,提出了环状碳酸酯形成的反应机理;这些有助于确定CO₂压力在催化过程中的可能作用以及有利于反应不同中间体稳定化的氢键。

https://cdn.ncbi.nlm.nih.gov/pmc/blobs/831e/11064168/2eec4c8cf2d0/ao4c00530_0001.jpg

文献AI研究员

20分钟写一篇综述,助力文献阅读效率提升50倍。

立即体验

用中文搜PubMed

大模型驱动的PubMed中文搜索引擎

马上搜索

文档翻译

学术文献翻译模型,支持多种主流文档格式。

立即体验