Suppr超能文献

多孔介质燃烧器中甲烷 - 氢气混合物的瞬态燃烧特性

Transient Combustion Characteristics of Methane-Hydrogen Mixtures in Porous Media Burner.

作者信息

Huang Taiming, Ren Xun, Chen Yiyu, Ma Jingmao, Yi Dingxun, Wan Zhongmin, Yu Bo, Zeng Wei

机构信息

College of Mechanical Engineering, Hunan Institute of Science and Technology, Yueyang 414000, China.

College of Mechanical Engineering, Beijing Institute of Petrochemical Technology, Beijing 102400, China.

出版信息

ACS Omega. 2024 Apr 18;9(17):19525-19535. doi: 10.1021/acsomega.4c01065. eCollection 2024 Apr 30.

Abstract

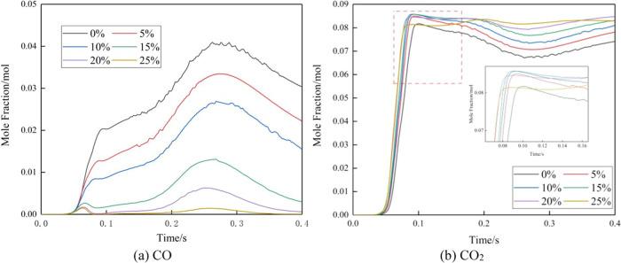
The combustion of conventional methane-hydrogen mixtures is associated with challenges such as combustion instability and excessive pollutant emissions. This study explores the advantages of porous media, which include a wide operating range, enhanced combustion stability, high combustion efficiency, and reduced pollutant emissions. We conducted numerical transient simulations to investigate methane-hydrogen combustion within a porous media, focusing on a cylindrical double-layer porous burner geometry. The research analyzes the temperature, combustion rate, and diffusion characteristics of the methane-hydrogen-precipitated gas flame within the porous media. Additionally, it examines variations in the position and width of the high-temperature region along with changes in carbon and nitrogen emissions. The computations were carried out for different hydrogen blending ratios over the time interval of 0-0.4 s. The results unveil the transient combustion characteristics of hydrogen-enriched methane within a porous media, offering valuable insights for the subsequent optimization of porous media burners (PMB). This study provides a theoretical foundation for enhancing the efficiency and environmental performance of combustion processes involving methane-hydrogen mixtures.

摘要

传统甲烷 - 氢气混合物的燃烧存在燃烧不稳定和污染物排放过多等挑战。本研究探讨了多孔介质的优势,包括宽运行范围、增强的燃烧稳定性、高燃烧效率以及减少的污染物排放。我们进行了数值瞬态模拟,以研究多孔介质内的甲烷 - 氢气燃烧,重点关注圆柱形双层多孔燃烧器几何结构。该研究分析了多孔介质内甲烷 - 氢气 - 析出气体火焰的温度、燃烧速率和扩散特性。此外,还研究了高温区域的位置和宽度变化以及碳和氮排放的变化。在0 - 0.4秒的时间间隔内针对不同的氢气混合比进行了计算。结果揭示了多孔介质内富氢甲烷的瞬态燃烧特性,为随后优化多孔介质燃烧器(PMB)提供了有价值的见解。本研究为提高涉及甲烷 - 氢气混合物的燃烧过程的效率和环境性能提供了理论基础。

https://cdn.ncbi.nlm.nih.gov/pmc/blobs/89fe/11064001/26055efca54e/ao4c01065_0001.jpg

文献AI研究员

20分钟写一篇综述,助力文献阅读效率提升50倍。

立即体验

用中文搜PubMed

大模型驱动的PubMed中文搜索引擎

马上搜索

文档翻译

学术文献翻译模型,支持多种主流文档格式。

立即体验