Suppr超能文献

重组凝血因子VIIa治疗严重产后出血的疗效与安全性分析

Efficacy and Safety Analyses of Recombinant Factor VIIa in Severe Post-Partum Hemorrhage.

作者信息

Caram-Deelder Camila, McKinnon Edwards Hellen, Zdanowicz Jarmila A, van den Akker Thomas, Birkegård Camilla, Blatný Jan, van der Bom Johanna G, Colucci Giuseppe, van Duuren Derek, van Geloven Nan, Henriquez Dacia D C A, Knight Marian, Korsholm Lars, Landorph Andrea, Lavigne Lissalde Géraldine, McQuilten Zoe K, Surbek Daniel, Wellard Cameron, Wood Erica M, Mercier Frederic J

机构信息

Leiden University Medical Center, 2333 Leiden, The Netherlands.

Department of Obstetrics and Gynaecology, Copenhagen University Hospital Herlev, 2730 Herlev, Denmark.

出版信息

J Clin Med. 2024 May 1;13(9):2656. doi: 10.3390/jcm13092656.

Abstract

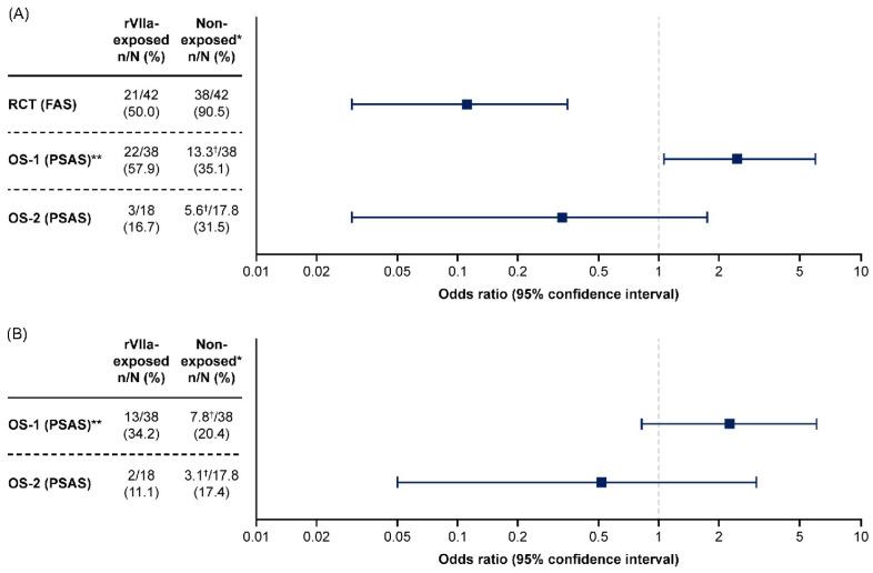
: Despite a range of available treatments, it is still sometimes challenging to treat patients with severe post-partum hemorrhage (sPPH). Objective: This study evaluated the efficacy and safety of recombinant activated factor VIIa (rFVIIa) in sPPH management. : An open-label, multi-center, randomized controlled trial (RCT; NCT00370877) and four observational studies (OS; OS-1 (NCT04723979), OS-2, OS-3, and OS-4) were analyzed regarding efficacy (need for subsequent invasive procedures, including uterine compression sutures, uterine or iliac artery ligations, arterial embolization, or hysterectomy) and safety (incidence of thromboembolic events (TE) and maternal mortality) of rFVIIa for sPPH. The RCT, and OS-1 and OS-2, included a control group of women who did not receive rFVIIa (with propensity score-matching used in OS-1 and OS-2), whereas OS-3 and OS-4 provided descriptive data for rFVIIa-exposed women only. : A total of 446 women exposed to rFVIIa and 1717 non-exposed controls were included. In the RCT, fewer rFVIIa-exposed women (50% [21/42]) had an invasive procedure versus non-exposed women (91% [38/42]; odds ratio: 0.11; 95% confidence interval: 0.03-0.35). In OS-1, more rFVIIa-exposed women (58% [22/38]) had an invasive procedure versus non-exposed women (35% [13.3/38]; odds ratio: 2.46; 95% confidence interval: 1.06-5.99). In OS-2, 17% (3/18) of rFVIIa-exposed women and 32% (5.6/17.8) of non-exposed women had an invasive procedure (odds ratio: 0.33; 95% confidence interval: 0.03-1.75). Across all included women, TEs occurred in 1.5% (0.2% arterial and 1.2% venous) of rFVIIa-exposed women and 1.6% (0.2% arterial and 1.4% venous) of non-exposed women with available data. : The positive treatment effect of rFVIIa on the RCT was not confirmed in the OS. However, the safety analysis did not show any increased incidence of TEs with rFVIIa treatment.

摘要

尽管有一系列可用的治疗方法,但治疗严重产后出血(sPPH)患者有时仍具有挑战性。目的:本研究评估重组活化凝血因子VIIa(rFVIIa)在sPPH管理中的疗效和安全性。:分析了一项开放标签、多中心、随机对照试验(RCT;NCT00370877)和四项观察性研究(OS;OS-1(NCT04723979)、OS-2、OS-3和OS-4)中rFVIIa治疗sPPH的疗效(后续侵入性手术的需求,包括子宫压迫缝合、子宫或髂动脉结扎、动脉栓塞或子宫切除术)和安全性(血栓栓塞事件(TE)的发生率和孕产妇死亡率)。RCT以及OS-1和OS-2纳入了未接受rFVIIa的女性对照组(OS-1和OS-2采用倾向评分匹配),而OS-3和OS-4仅提供了接受rFVIIa治疗女性的描述性数据。:总共纳入了446名接受rFVIIa治疗的女性和1717名未接受治疗的对照组女性。在RCT中,接受rFVIIa治疗的女性(50%[21/42])进行侵入性手术的人数少于未接受治疗的女性(91%[38/42];优势比:0.11;95%置信区间:0.03-0.35)。在OS-1中,接受rFVIIa治疗的女性(58%[22/38])进行侵入性手术的人数多于未接受治疗的女性(35%[13.3/38];优势比:2.46;95%置信区间:1.06-5.99)。在OS-2中,接受rFVIIa治疗的女性中有17%(3/18)进行了侵入性手术,未接受治疗的女性中有32%(5.6/17.8)进行了侵入性手术(优势比:0.33;95%置信区间:0.03-1.75)。在所有纳入的女性中,有可用数据的接受rFVIIa治疗的女性中1.5%(0.2%动脉和1.2%静脉)发生了TE,未接受治疗的女性中1.6%(0.2%动脉和1.4%静脉)发生了TE。:OS未证实rFVIIa在RCT中的积极治疗效果。然而,安全性分析未显示rFVIIa治疗会增加TE的发生率。

https://cdn.ncbi.nlm.nih.gov/pmc/blobs/db21/11084845/c11748060c22/jcm-13-02656-g001.jpg

文献AI研究员

20分钟写一篇综述,助力文献阅读效率提升50倍。

立即体验

用中文搜PubMed

大模型驱动的PubMed中文搜索引擎

马上搜索

文档翻译

学术文献翻译模型,支持多种主流文档格式。

立即体验