Suppr超能文献

鳞状细胞癌抗原-1和-2用于诊断鼻窦内翻性乳头状瘤的前瞻性分析

Prospective Analysis of Squamous Cell Carcinoma Antigen-1 and -2 for Diagnosing Sinonasal Inverted Papilloma.

作者信息

Hirakawa Hitoshi, Ikegami Taro, Toyama Masatomo, Ooshiro Yurika, Higa Tomoyo, Kinjyo Hidetoshi, Kondo Shunsuke, Kise Norimoto, Yamashita Yukashi, Suzuki Mikio

机构信息

Department of Otorhinolaryngology, Head and Neck Surgery, Graduate School of Medicine, University of the Ryukyus, 207 Uehara, Nishihara-cho, Nakagami-gun, Okinawa 903-0215, Japan.

出版信息

J Clin Med. 2024 May 6;13(9):2721. doi: 10.3390/jcm13092721.

Abstract

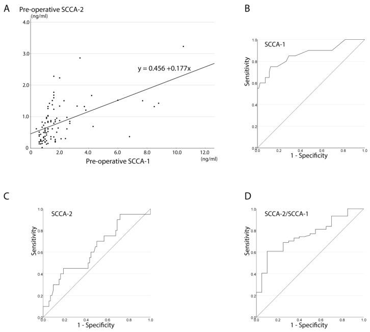
: The goal of this research was to confirm whether preoperative serum squamous cell carcinoma antigen (SCCA)-1 and -2 levels are useful diagnostic markers for sinonasal inverted papilloma (IP) in a prospective study. : Participants were 102 patients who underwent consecutive endoscopic sinus surgery: 18 with IP, two with other types of papilloma, 77 with chronic rhinosinusitis, four with sinonasal cancer, and one with hemangioma. SCCA-1 and SCCA-2 were measured preoperatively by an automatic chemiluminescence immunoassay and an enzyme-linked immunosorbent assay, respectively. : SCCA-1 and SCCA-2 values were significantly correlated (r = 0.603, < 0.001). Receiver operating characteristic analysis for differentiating papilloma (IP and other types of papilloma) from other diseases yielded an area under the curve of 0.860, with a Youden index of 1.75. Combined with SCCA-2 analysis, the detection system had a sensitivity and specificity of 0.65 and 0.98, respectively. While our study did not find a strong link between SCCA levels and skin or lung diseases, smoking status may influence SCCA levels in IP patients ( = 0.035). We recommend a cutoff value of 1.8 ng/mL for SCCA-1 in IP diagnosis. : SCCA-1 and SCCA-2 when combined with imaging and pathology hold promise for enhancing the preoperative detection of IP, which would be a valuable contribution to clinical practice.

摘要

本研究的目的是在前瞻性研究中确认术前血清鳞状细胞癌抗原(SCCA)-1和-2水平是否为鼻腔鼻窦内翻性乳头状瘤(IP)的有用诊断标志物。研究对象为102例连续接受鼻内镜鼻窦手术的患者:18例患有IP,2例患有其他类型的乳头状瘤,77例患有慢性鼻窦炎,4例患有鼻腔鼻窦癌,1例患有血管瘤。术前分别通过自动化学发光免疫测定法和酶联免疫吸附测定法检测SCCA-1和SCCA-2。SCCA-1和SCCA-2值显著相关(r = 0.603,P < 0.001)。用于区分乳头状瘤(IP和其他类型的乳头状瘤)与其他疾病的受试者工作特征分析得出曲线下面积为0.860,约登指数为1.75。结合SCCA-2分析,该检测系统的灵敏度和特异性分别为0.65和0.98。虽然我们的研究未发现SCCA水平与皮肤或肺部疾病之间有密切联系,但吸烟状况可能会影响IP患者的SCCA水平(P = 0.035)。我们建议在IP诊断中SCCA-1的临界值为1.8 ng/mL。SCCA-1和SCCA-2与影像学和病理学相结合有望提高IP的术前检测率,这将对临床实践做出有价值的贡献。

https://cdn.ncbi.nlm.nih.gov/pmc/blobs/6ac3/11084524/cfd55e1993d8/jcm-13-02721-g001.jpg

文献AI研究员

20分钟写一篇综述,助力文献阅读效率提升50倍。

立即体验

用中文搜PubMed

大模型驱动的PubMed中文搜索引擎

马上搜索

文档翻译

学术文献翻译模型,支持多种主流文档格式。

立即体验