• 文献检索
  • 文档翻译
  • 深度研究
  • 学术资讯
  • Suppr Zotero 插件Zotero 插件
  • 邀请有礼
  • 套餐&价格
  • 历史记录
应用&插件
Suppr Zotero 插件Zotero 插件浏览器插件Mac 客户端Windows 客户端微信小程序
定价
高级版会员购买积分包购买API积分包
服务
文献检索文档翻译深度研究API 文档MCP 服务
关于我们
关于 Suppr公司介绍联系我们用户协议隐私条款
关注我们

Suppr 超能文献

核心技术专利:CN118964589B侵权必究
粤ICP备2023148730 号-1Suppr @ 2026

文献检索

告别复杂PubMed语法,用中文像聊天一样搜索,搜遍4000万医学文献。AI智能推荐,让科研检索更轻松。

立即免费搜索

文件翻译

保留排版,准确专业,支持PDF/Word/PPT等文件格式,支持 12+语言互译。

免费翻译文档

深度研究

AI帮你快速写综述,25分钟生成高质量综述,智能提取关键信息,辅助科研写作。

立即免费体验

乙烷(CD)在气/液和超临界状态下的热密度涨落与多晶型相变

Thermal Density Fluctuations and Polymorphic Phase Transitions of Ethane (CD) in the Gas/Liquid and Supercritical States.

作者信息

Pipich Vitaliy, Kohlbrecher Joachim, Schwahn Dietmar

机构信息

Jülich Centre for Neutron Science (JCNS) at Heinz Maier-Leibnitz-Zentrum (MLZ), Forschungszentrum Jülich GmbH, Garching D-85747, Germany.

Laboratory for Neutron Scattering, Paul-Scherrer Institute, Villigen CH-5232 PSI, Switzerland.

出版信息

J Phys Chem B. 2024 May 23;128(20):5072-5082. doi: 10.1021/acs.jpcb.4c01422. Epub 2024 May 15.

DOI:10.1021/acs.jpcb.4c01422
PMID:38747367
原文链接:https://pmc.ncbi.nlm.nih.gov/articles/PMC11129177/
Abstract

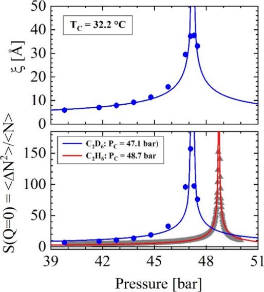
The phase behavior of the liquid CD below and above the critical point was investigated using small-angle neutron scattering (SANS) in temperature and pressure ranges from 10 to 45 °C and 20 to 126 bar, respectively. The scattering of thermal fluctuations of the molecular density was determined and thus the gas-liquid and Widom lines. At the same time, we observed additional scattering of droplets of more densely packed CD molecules above the gas-liquid line and in the supercritical fluid regime from just below the critical point for all temperatures at about Δ = 10 bar above the Widom line. This line is interpreted as the Frenkel line. These results are consistent with our previous studies on CO and thus indicate a universal phase behavior for monomolecular liquids below and above the critical point. The interpretation of the Frenkel line as the lower limit of a polymorphic phase transition is in contrast to the usual interpretation as the limit of a dynamic process. The correlation lengths (ξ) of the thermal density fluctuations at the critical point and at the Widom line are determined between 20 and 35 Å and thus in the range of the droplet radius between 60 and 80 Å. These long-range fluctuations appear to suppress the formation of droplets, which can only form at about 10 bar above the critical point and the Widom line when ξ becomes smaller than 10 Å.

摘要

分别在温度范围为10至45°C和压力范围为20至126巴的条件下,使用小角中子散射(SANS)研究了临界点以下和以上液体CD的相行为。确定了分子密度热涨落的散射,从而确定了气液线和维德曼线。同时,我们观察到在气液线以上以及在超临界流体区域中,对于所有温度,在高于维德曼线约Δ = 10巴处,存在更密集堆积的CD分子液滴的额外散射。这条线被解释为弗伦克尔线。这些结果与我们之前对CO的研究一致,因此表明了单分子液体在临界点以下和以上的普遍相行为。将弗伦克尔线解释为多晶型相变的下限,这与通常将其解释为动态过程的极限形成对比。确定了临界点和维德曼线处热密度涨落的关联长度(ξ)在20至35 Å之间,因此处于液滴半径在60至80 Å的范围内。这些长程涨落似乎抑制了液滴的形成,液滴只能在高于临界点和维德曼线约10巴处形成,此时ξ小于10 Å。

https://cdn.ncbi.nlm.nih.gov/pmc/blobs/4645/11129177/a1d503a321f4/jp4c01422_0009.jpg
https://cdn.ncbi.nlm.nih.gov/pmc/blobs/4645/11129177/e8f5c1220344/jp4c01422_0001.jpg
https://cdn.ncbi.nlm.nih.gov/pmc/blobs/4645/11129177/51a90387a398/jp4c01422_0002.jpg
https://cdn.ncbi.nlm.nih.gov/pmc/blobs/4645/11129177/7192db1aca2f/jp4c01422_0003.jpg
https://cdn.ncbi.nlm.nih.gov/pmc/blobs/4645/11129177/f3c0e9a5d1de/jp4c01422_0004.jpg
https://cdn.ncbi.nlm.nih.gov/pmc/blobs/4645/11129177/e448a331ba15/jp4c01422_0005.jpg
https://cdn.ncbi.nlm.nih.gov/pmc/blobs/4645/11129177/b62a670eb553/jp4c01422_0006.jpg
https://cdn.ncbi.nlm.nih.gov/pmc/blobs/4645/11129177/d4252f70dca0/jp4c01422_0007.jpg
https://cdn.ncbi.nlm.nih.gov/pmc/blobs/4645/11129177/d05bc57dbc92/jp4c01422_0008.jpg
https://cdn.ncbi.nlm.nih.gov/pmc/blobs/4645/11129177/a1d503a321f4/jp4c01422_0009.jpg
https://cdn.ncbi.nlm.nih.gov/pmc/blobs/4645/11129177/e8f5c1220344/jp4c01422_0001.jpg
https://cdn.ncbi.nlm.nih.gov/pmc/blobs/4645/11129177/51a90387a398/jp4c01422_0002.jpg
https://cdn.ncbi.nlm.nih.gov/pmc/blobs/4645/11129177/7192db1aca2f/jp4c01422_0003.jpg
https://cdn.ncbi.nlm.nih.gov/pmc/blobs/4645/11129177/f3c0e9a5d1de/jp4c01422_0004.jpg
https://cdn.ncbi.nlm.nih.gov/pmc/blobs/4645/11129177/e448a331ba15/jp4c01422_0005.jpg
https://cdn.ncbi.nlm.nih.gov/pmc/blobs/4645/11129177/b62a670eb553/jp4c01422_0006.jpg
https://cdn.ncbi.nlm.nih.gov/pmc/blobs/4645/11129177/d4252f70dca0/jp4c01422_0007.jpg
https://cdn.ncbi.nlm.nih.gov/pmc/blobs/4645/11129177/d05bc57dbc92/jp4c01422_0008.jpg
https://cdn.ncbi.nlm.nih.gov/pmc/blobs/4645/11129177/a1d503a321f4/jp4c01422_0009.jpg

相似文献

1
Thermal Density Fluctuations and Polymorphic Phase Transitions of Ethane (CD) in the Gas/Liquid and Supercritical States.乙烷(CD)在气/液和超临界状态下的热密度涨落与多晶型相变
J Phys Chem B. 2024 May 23;128(20):5072-5082. doi: 10.1021/acs.jpcb.4c01422. Epub 2024 May 15.
2
Polymorphic phase transition in liquid and supercritical carbon dioxide.液体和超临界二氧化碳中的多晶型相变。
Sci Rep. 2020 Jul 17;10(1):11861. doi: 10.1038/s41598-020-68451-y.
3
Densification of Supercritical Carbon Dioxide Accompanied by Droplet Formation When Passing the Widom Line.超临界二氧化碳在越过 Widom 线时伴随液滴形成的致密化。
Phys Rev Lett. 2018 Apr 6;120(14):145701. doi: 10.1103/PhysRevLett.120.145701.
4
Structural Markers of the Frenkel Line in the Proximity of Widom Lines.弗伦克尔线附近威道姆线的结构标记。
J Phys Chem B. 2021 Aug 12;125(31):8902-8906. doi: 10.1021/acs.jpcb.1c04690. Epub 2021 Jul 29.
5
True Widom line for a square-well system.方阱系统的真维多姆线。
Phys Rev E Stat Nonlin Soft Matter Phys. 2014 Apr;89(4):042136. doi: 10.1103/PhysRevE.89.042136. Epub 2014 Apr 18.
6
Widom Lines in Binary Mixtures of Supercritical Fluids.Wisdom 线在超临界流体二元混合物中的表现。
Sci Rep. 2017 Jun 8;7(1):3027. doi: 10.1038/s41598-017-03334-3.
7
Crossover from gas-like to liquid-like molecular diffusion in a simple supercritical fluid.在一种简单的超临界流体中从类气体分子扩散到类液体分子扩散的转变
Nat Commun. 2024 May 16;15(1):4142. doi: 10.1038/s41467-024-47961-7.
8
Widom line and noise-power spectral analysis of a supercritical fluid.超临界流体的维登线和噪声功率谱分析
Phys Rev E Stat Nonlin Soft Matter Phys. 2012 May;85(5 Pt 1):051201. doi: 10.1103/PhysRevE.85.051201. Epub 2012 May 2.
9
Widom line for the liquid-gas transition in Lennard-Jones system.威道姆线:关于 Lennard-Jones 系统的气液转变。
J Phys Chem B. 2011 Dec 8;115(48):14112-5. doi: 10.1021/jp2039898. Epub 2011 Jun 24.
10
Thermodynamic crossovers in supercritical fluids.超临界流体中的热力学转变
Proc Natl Acad Sci U S A. 2024 Apr 30;121(18):e2400313121. doi: 10.1073/pnas.2400313121. Epub 2024 Apr 23.

本文引用的文献

1
Polymorphic phase transition in liquid and supercritical carbon dioxide.液体和超临界二氧化碳中的多晶型相变。
Sci Rep. 2020 Jul 17;10(1):11861. doi: 10.1038/s41598-020-68451-y.
2
Topological generalization of the rigid-nonrigid transition in soft-sphere and hard-sphere fluids.软球和硬球流体中刚性-非刚性转变的拓扑泛化
Phys Rev E. 2019 May;99(5-1):052603. doi: 10.1103/PhysRevE.99.052603.
3
Observation of Liquid-Liquid Phase Transitions in Ethane at 300 K.300K下乙烷中液-液相转变的观测
J Phys Chem B. 2018 Nov 8;122(44):10172-10178. doi: 10.1021/acs.jpcb.8b07982. Epub 2018 Oct 25.
4
Topological Characterization of Rigid-Nonrigid Transition across the Frenkel Line.跨越弗伦克尔线的刚性-非刚性转变的拓扑表征
J Phys Chem Lett. 2018 Nov 15;9(22):6524-6528. doi: 10.1021/acs.jpclett.8b02715. Epub 2018 Nov 2.
5
"Two-Phase" Thermodynamics of the Frenkel Line.弗伦克尔线的“两相”热力学
J Phys Chem Lett. 2018 Aug 16;9(16):4550-4554. doi: 10.1021/acs.jpclett.8b01955. Epub 2018 Jul 31.
6
Densification of Supercritical Carbon Dioxide Accompanied by Droplet Formation When Passing the Widom Line.超临界二氧化碳在越过 Widom 线时伴随液滴形成的致密化。
Phys Rev Lett. 2018 Apr 6;120(14):145701. doi: 10.1103/PhysRevLett.120.145701.
7
Frenkel line and solubility maximum in supercritical fluids.弗伦克尔线与超临界流体中的溶解度最大值
Phys Rev E Stat Nonlin Soft Matter Phys. 2015 Jan;91(1):012112. doi: 10.1103/PhysRevE.91.012112. Epub 2015 Jan 8.
8
Global thermodynamic behavior of fluids in the critical region.
Phys Rev A. 1990 Oct 15;42(8):4470-4484. doi: 10.1103/physreva.42.4470.