Suppr超能文献

HR+早期乳腺癌序贯与同步辅助化疗-内分泌治疗:一项系统评价与贝叶斯网络荟萃分析

Sequential versus concurrent adjuvant chemo-endocrine therapy for HR+ early breast cancer: a systematic review and Bayesian network meta-analysis.

作者信息

Li Tianfu, Shan Zhen, Shi Yawei, Kuang Xiaying, Yu Liang, Tang Shou-Ching, Shao Nan, Lin Ying

机构信息

Breast Disease Center, The First Affiliated Hospital, Sun Yat-sen University, Guangzhou, China.

Laboratory of Surgery, The First Affiliated Hospital, Sun Yat-sen University, Guangzhou, China.

出版信息

Transl Breast Cancer Res. 2022 Jan 31;3:8. doi: 10.21037/tbcr-21-3. eCollection 2022.

Abstract

BACKGROUND

Chemo-endocrine therapy is the standard adjuvant treatment strategy for hormone receptor-positive (HR+) early breast cancer. Our research aimed to compare the efficacy of adjuvant chemo-endocrine therapies, regarding different endocrinal regimens and integration sequences (sequential or concomitant), for HR+ early breast cancer.

METHODS

PubMed, Embase, the Cochrane Library and web of science were searched for articles published before October 2018 with Clinicaltrials.gov (https://clinicaltrials.gov) for registered clinical trials and ASCO, AACR, ESCO, SABCS meeting abstracts for addition. Randomized clinical trials (RCTs) comparing chemotherapy and/or endocrine therapy in the adjuvant treatment of primary breast cancer patients were included. Hazard ratios (HRs) of disease-free survival (DFS) and overall survival (OS) were extracted and analyzed in Bayesian analysis. Patients were stratified by menopause status.

RESULTS

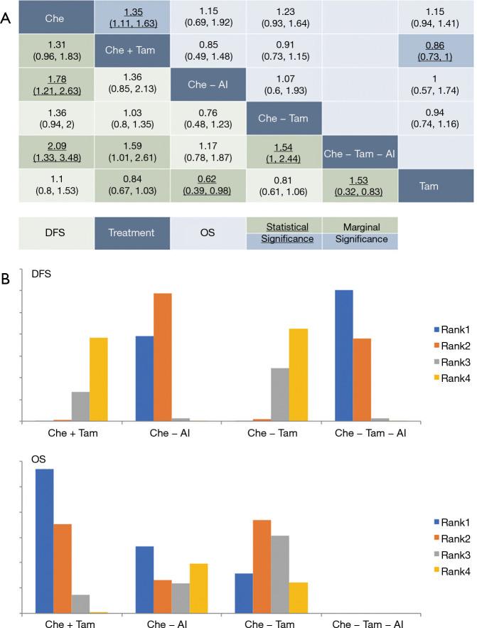
Thirty-three trials with 28,515 patients and 19 treatments were enrolled. Comparisons between regimens has seen better efficacy of ovarian function suppressor (OFS) + aromatase inhibitors (AI) than OFS + tamoxifen, either used concurrently [HR =0.69, 95% credible intervals (CrI): 0.47-1.02] or sequentially with chemotherapy (HR =0.72, 95% CrI: 0.49-1.06) in premenopausal patients. Adding OFS to tamoxifen was marginally better than tamoxifen used alone (DFS: HR =0.85, 95% CrI: 0.65-1.09; OS: HR =0.77, 95% CrI: 0.52-1.08). Comparisons between different sequences of chemo-endocrine therapy proved equal efficacy in premenopausal and postmenopausal patients. Recommendation was given based on ranking of treatments. Sequential and concurrent use of chemotherapy and OFS + AI ranked equally in premenopausal patients and were recommended as the best option. However, tamoxifen ranked higher when used concurrently with chemotherapy in both premenopausal and postmenopausal HR+ early breast cancer.

CONCLUSIONS

In the adjuvant chemo-endocrine therapy for premenopausal HR+ early breast cancer, concurrent and sequential adjuvant chemo-endocrine therapy was demonstrated of equal efficacy in both postmenopausal and premenopausal HR+ early breast cancer.

TRIAL REGISTRATION

PROSPERO CRD42018104889.

摘要

背景

化疗-内分泌治疗是激素受体阳性(HR+)早期乳腺癌的标准辅助治疗策略。我们的研究旨在比较不同内分泌方案和联合顺序(序贯或同步)的辅助化疗-内分泌治疗对HR+早期乳腺癌的疗效。

方法

检索PubMed、Embase、Cochrane图书馆和科学网,查找2018年10月之前发表的文章,并通过Clinicaltrials.gov(https://clinicaltrials.gov)查找注册临床试验,以及美国临床肿瘤学会(ASCO)、美国癌症研究协会(AACR)、欧洲肿瘤内科学会(ESCO)、圣安东尼奥乳腺癌研讨会(SABCS)的会议摘要作为补充。纳入比较原发性乳腺癌患者辅助治疗中化疗和/或内分泌治疗的随机临床试验(RCT)。提取无病生存期(DFS)和总生存期(OS)的风险比(HR),并进行贝叶斯分析。患者按绝经状态分层。

结果

共纳入33项试验,涉及28515例患者和19种治疗方案。方案比较显示,在绝经前患者中,卵巢功能抑制剂(OFS)+芳香化酶抑制剂(AI)的疗效优于OFS+他莫昔芬,无论是同步使用[HR =0.69,95%可信区间(CrI):0.47-1.02]还是与化疗序贯使用(HR =0.72,95% CrI:0.49-1.06)。他莫昔芬加用OFS略优于单独使用他莫昔芬(DFS:HR =0.85,95% CrI:0.65-1.09;OS:HR =0.77,95% CrI:0.52-1.08)。化疗-内分泌治疗不同顺序的比较证明,绝经前和绝经后患者疗效相当。根据治疗排名给出推荐。化疗与OFS+AI序贯和同步使用在绝经前患者中排名相同,被推荐为最佳选择。然而,在绝经前和绝经后HR+早期乳腺癌中,他莫昔芬与化疗同步使用时排名更高。

结论

在绝经前HR+早期乳腺癌的辅助化疗-内分泌治疗中,绝经后和绝经前HR+早期乳腺癌的同步和序贯辅助化疗-内分泌治疗疗效相当。

试验注册

PROSPERO CRD42018104889。

https://cdn.ncbi.nlm.nih.gov/pmc/blobs/ac1c/11093067/97931e29440d/tbcr-03-8-f1.jpg

文献AI研究员

20分钟写一篇综述,助力文献阅读效率提升50倍。

立即体验

用中文搜PubMed

大模型驱动的PubMed中文搜索引擎

马上搜索

文档翻译

学术文献翻译模型,支持多种主流文档格式。

立即体验