• 文献检索
  • 文档翻译
  • 深度研究
  • 学术资讯
  • Suppr Zotero 插件Zotero 插件
  • 邀请有礼
  • 套餐&价格
  • 历史记录
应用&插件
Suppr Zotero 插件Zotero 插件浏览器插件Mac 客户端Windows 客户端微信小程序
定价
高级版会员购买积分包购买API积分包
服务
文献检索文档翻译深度研究API 文档MCP 服务
关于我们
关于 Suppr公司介绍联系我们用户协议隐私条款
关注我们

Suppr 超能文献

核心技术专利:CN118964589B侵权必究
粤ICP备2023148730 号-1Suppr @ 2026

文献检索

告别复杂PubMed语法,用中文像聊天一样搜索,搜遍4000万医学文献。AI智能推荐,让科研检索更轻松。

立即免费搜索

文件翻译

保留排版,准确专业,支持PDF/Word/PPT等文件格式,支持 12+语言互译。

免费翻译文档

深度研究

AI帮你快速写综述,25分钟生成高质量综述,智能提取关键信息,辅助科研写作。

立即免费体验

性角色的演变:生态和社会环境的重要性。

The evolution of sex roles: The importance of ecology and social environment.

机构信息

Evolutionary Ecology Research Group, Hungarian Research Network-University of Pannonia, Veszprém 8200, Hungary.

Behavioural Ecology Research Group, Center for Natural Sciences, University of Pannonia, Veszprém 8200, Hungary.

出版信息

Proc Natl Acad Sci U S A. 2024 May 28;121(22):e2321294121. doi: 10.1073/pnas.2321294121. Epub 2024 May 21.

DOI:10.1073/pnas.2321294121
PMID:38771872
原文链接:https://pmc.ncbi.nlm.nih.gov/articles/PMC11145285/
Abstract

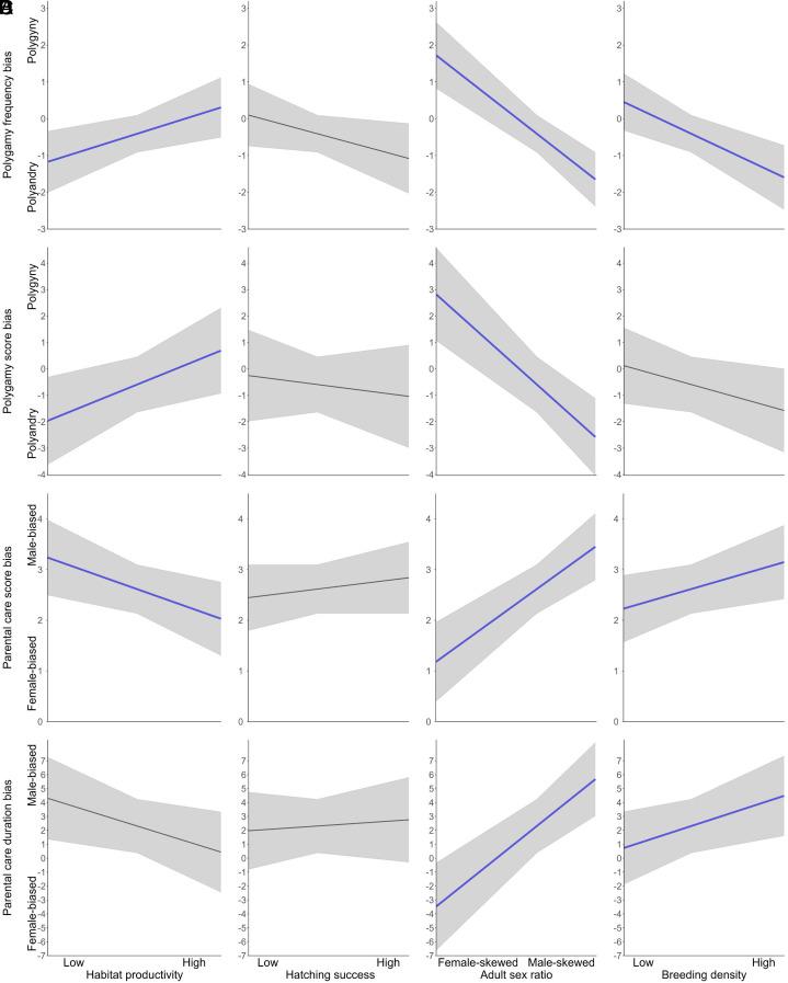
Males and females often have different roles in reproduction, although the origin of these differences has remained controversial. Explaining the enigmatic reversed sex roles where males sacrifice their mating potential and provide full parental care is a particularly long-standing challenge in evolutionary biology. While most studies focused on ecological factors as the drivers of sex roles, recent research highlights the significance of social factors such as the adult sex ratio. To disentangle these propositions, here, we investigate the additive and interactive effects of several ecological and social factors on sex role variation using shorebirds (sandpipers, plovers, and allies) as model organisms that provide the full spectrum of sex role variation including some of the best-known examples of sex-role reversal. Our results consistently show that social factors play a prominent role in driving sex roles. Importantly, we show that reversed sex roles are associated with both male-skewed adult sex ratios and high breeding densities. Furthermore, phylogenetic path analyses provide general support for sex ratios driving sex role variations rather than being a consequence of sex roles. Together, these important results open future research directions by showing that different mating opportunities of males and females play a major role in generating the evolutionary diversity of sex roles, mating system, and parental care.

摘要

男性和女性在生殖中通常扮演不同的角色,尽管这些差异的起源一直存在争议。解释雄性牺牲交配潜力并提供完全亲代照顾的神秘反转性别角色是进化生物学中一个特别长期存在的挑战。虽然大多数研究将生态因素作为性别角色的驱动因素,但最近的研究强调了社会因素(如成年性别比)的重要性。为了理清这些观点,在这里,我们使用滨鸟(矶鹬、滨鹬和相关鸟类)作为模型生物,调查了几种生态和社会因素对性别角色变化的加性和交互作用,这些模型生物提供了性别角色变化的全貌,包括一些最著名的性别反转例子。我们的研究结果一致表明,社会因素在驱动性别角色方面起着重要作用。重要的是,我们表明,反转的性别角色与雄性偏向的成年性别比和高繁殖密度有关。此外,系统发育路径分析为性别比驱动性别角色变化提供了普遍支持,而不是性别角色的结果。这些重要的结果表明,不同的雌雄两性交配机会在产生性别角色、交配系统和亲代照顾的进化多样性方面发挥了主要作用,为未来的研究指明了方向。

https://cdn.ncbi.nlm.nih.gov/pmc/blobs/d819/11145285/ba993fdcaa68/pnas.2321294121fig04.jpg
https://cdn.ncbi.nlm.nih.gov/pmc/blobs/d819/11145285/15e9691940cc/pnas.2321294121fig01.jpg
https://cdn.ncbi.nlm.nih.gov/pmc/blobs/d819/11145285/09335c64f660/pnas.2321294121fig02.jpg
https://cdn.ncbi.nlm.nih.gov/pmc/blobs/d819/11145285/4fad6e9460d7/pnas.2321294121fig03.jpg
https://cdn.ncbi.nlm.nih.gov/pmc/blobs/d819/11145285/ba993fdcaa68/pnas.2321294121fig04.jpg
https://cdn.ncbi.nlm.nih.gov/pmc/blobs/d819/11145285/15e9691940cc/pnas.2321294121fig01.jpg
https://cdn.ncbi.nlm.nih.gov/pmc/blobs/d819/11145285/09335c64f660/pnas.2321294121fig02.jpg
https://cdn.ncbi.nlm.nih.gov/pmc/blobs/d819/11145285/4fad6e9460d7/pnas.2321294121fig03.jpg
https://cdn.ncbi.nlm.nih.gov/pmc/blobs/d819/11145285/ba993fdcaa68/pnas.2321294121fig04.jpg

相似文献

1
The evolution of sex roles: The importance of ecology and social environment.性角色的演变:生态和社会环境的重要性。
Proc Natl Acad Sci U S A. 2024 May 28;121(22):e2321294121. doi: 10.1073/pnas.2321294121. Epub 2024 May 21.
2
The evolution of sex roles in birds is related to adult sex ratio.鸟类性角色的进化与成体性别比例有关。
Nat Commun. 2013;4:1587. doi: 10.1038/ncomms2600.
3
Sex roles in birds: Phylogenetic analyses of the influence of climate, life histories and social environment.鸟类中的性别角色:气候、生活史和社会环境影响的系统发育分析。
Ecol Lett. 2022 Mar;25(3):647-660. doi: 10.1111/ele.13938.
4
Sex differences in parental care: Gametic investment, sexual selection, and social environment.亲代抚育中的性别差异:配子投资、性选择与社会环境
Evolution. 2015 Nov;69(11):2862-75. doi: 10.1111/evo.12786. Epub 2015 Oct 13.
5
Social monogamy vs. polyandry: ecological factors associated with sex roles in two closely related birds within the same habitat.社会性单配制与一妻多夫制:同一栖息地内两种近缘鸟类性别角色相关的生态因素
J Evol Biol. 2015 Jul;28(7):1335-53. doi: 10.1111/jeb.12657. Epub 2015 Jun 8.
6
Sex roles and sex ratios in animals.动物中的性别角色与性别比例。
Biol Rev Camb Philos Soc. 2023 Apr;98(2):462-480. doi: 10.1111/brv.12915. Epub 2022 Oct 28.
7
Sex Ratio Bias Leads to the Evolution of Sex Role Reversal in Honey Locust Beetles.性别比例偏差导致皂荚甲虫出现性别角色反转的进化。
Curr Biol. 2016 Sep 26;26(18):2522-2526. doi: 10.1016/j.cub.2016.07.018. Epub 2016 Sep 1.
8
Evolutionary pathways in shorebird breeding systems: sexual conflict, parental care, and chick development.滨鸟繁殖系统的进化途径:性冲突、亲代抚育与雏鸟发育
Evolution. 2005 Oct;59(10):2222-30.
9
Persistence of an extreme male-biased adult sex ratio in a natural population of polyandrous bird.在一个多雄多雌的鸟类自然种群中,存在一种极端雄性偏性的成体性别比例的持续现象。
J Evol Biol. 2011 Aug;24(8):1842-6. doi: 10.1111/j.1420-9101.2011.02305.x.
10
Divorce and infidelity are associated with skewed adult sex ratios in birds.离婚和不忠与鸟类中偏斜的成年性别比例有关。
Curr Biol. 2014 Apr 14;24(8):880-4. doi: 10.1016/j.cub.2014.02.059. Epub 2014 Mar 20.

引用本文的文献

1
Anisogamy and sex roles: a commentary.异配生殖与性别角色:一篇评论
Evol Lett. 2024 Oct 23;8(6):761-763. doi: 10.1093/evlett/qrae058. eCollection 2024 Dec.

本文引用的文献

1
Transient polymorphisms in parental care strategies drive divergence of sex roles.亲代抚育策略中的瞬时多态性驱动性别角色的分歧。
Nat Commun. 2023 Oct 26;14(1):6805. doi: 10.1038/s41467-023-42607-6.
2
Multiple paternity is related to adult sex ratio and sex determination system in reptiles.多父本与爬行动物的成年性别比例和性别决定系统有关。
J Evol Biol. 2023 Jun;36(6):935-944. doi: 10.1111/jeb.14185. Epub 2023 May 31.
3
Adult sex ratios: causes of variation and implications for animal and human societies.成年性别比例:变异原因及其对动物和人类社会的影响。
Commun Biol. 2022 Nov 19;5(1):1273. doi: 10.1038/s42003-022-04223-w.
4
Sex roles and sex ratios in animals.动物中的性别角色与性别比例。
Biol Rev Camb Philos Soc. 2023 Apr;98(2):462-480. doi: 10.1111/brv.12915. Epub 2022 Oct 28.
5
Mating systems in birds.鸟类的交配系统。
Curr Biol. 2022 Oct 24;32(20):R1115-R1121. doi: 10.1016/j.cub.2022.06.066.
6
Evolution of Social Organization: Phylogenetic Analyses of Ecology and Sexual Selection in Weavers.社会组织的演化:织巢鸟生态学和性选择的系统发育分析。
Am Nat. 2022 Aug;200(2):250-263. doi: 10.1086/720270. Epub 2022 Jun 23.
7
Sex roles in birds: Phylogenetic analyses of the influence of climate, life histories and social environment.鸟类中的性别角色:气候、生活史和社会环境影响的系统发育分析。
Ecol Lett. 2022 Mar;25(3):647-660. doi: 10.1111/ele.13938.
8
Degree of anisogamy is unrelated to the intensity of sexual selection.雌雄配子大小差异程度与性选择强度无关。
Sci Rep. 2021 Sep 30;11(1):19424. doi: 10.1038/s41598-021-98616-2.
9
Evolution of large males is associated with female-skewed adult sex ratios in amniotes.大型雄性的进化与羊膜动物中雌性偏斜的成年性别比例有关。
Evolution. 2021 Jul;75(7):1636-1649. doi: 10.1111/evo.14273. Epub 2021 Jun 12.
10
Social organization in ungulates: Revisiting Jarman's hypotheses.反刍动物的社会组织:重新审视贾尔曼的假说。
J Evol Biol. 2021 Apr;34(4):604-613. doi: 10.1111/jeb.13782. Epub 2021 Mar 26.