Suppr超能文献

通过叠氮化钠诱导提高物种的遗传变异性:形态生理和染色体改良。

Enhancing genetic variability in species through sodium azide induction: morpho-physiological and chromosomal amelioration.

作者信息

Naaz Neha, Choudhary Sana, Hasan Nazarul, Sharma Nidhi, Alharbi Khadiga, Abd El Moneim Diaa

机构信息

Cytogenetics and Plant Breeding Section, Department of Botany, Aligarh Muslim University, Aligarh, India.

Department of Biology, College of Science, Princess Nourah bint Abdulrahman University, Riyadh, Saudi Arabia.

出版信息

Front Genet. 2024 May 9;15:1378368. doi: 10.3389/fgene.2024.1378368. eCollection 2024.

Abstract

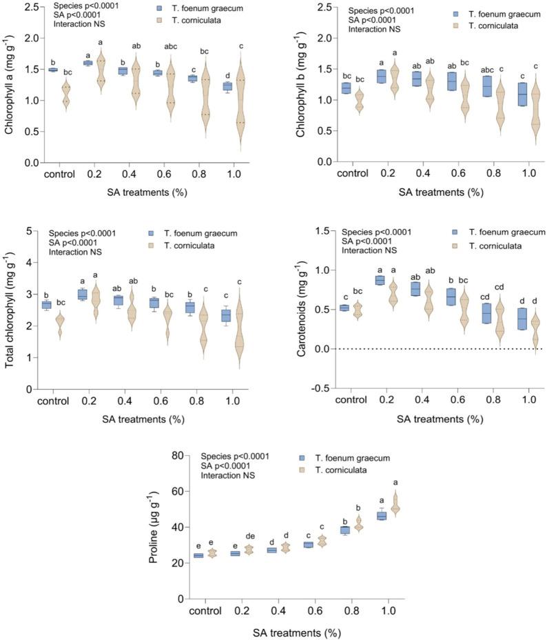
Plant breeding, aimed at enhancing desired traits, depends on genetic diversity. Mutation breeding is a powerful method of rapidly expanding genetic diversity, facilitating crop improvement, and ensuring food security. In a recent study, researchers evaluated the genetic variability of species using different doses of sodium azide (SA) (0.2%, 0.4%, 0.6%, 0.8%, and 1.0%) through morphological, physiological, and cytogenetic studies. Morphological variations were observed in cotyledonary leaves, vegetative leaves, and overall plant growth and habit. Several quantitative parameters, such as plant height, fertile branches per plant, pods per plant (or clusters), seeds per pod, and seed yield, increased when treated with 0.2% and 0.4% SA compared to the control. Furthermore, the total chlorophyll content and carotenoids increased in the sample treated with 0.2% SA over the control but decreased with higher concentrations. Scanning electron microscopy revealed that stomatal aperture and seed dimensions increased at lower concentrations of sodium azide treatment. The study found a positive correlation between the different parameters studied in the species, as indicated by high r-values. Based on their findings, it was concluded that the genotype of fenugreek can be improved by using 0.2% and 0.4% concentrations of sodium azide. However, the evaluation of observed variants in successive generations is a critical and necessary process to validate their potential as keystones for crop genetic improvements.

摘要

旨在增强理想性状的植物育种依赖于遗传多样性。诱变育种是一种迅速扩大遗传多样性、促进作物改良并确保粮食安全的有力方法。在最近的一项研究中,研究人员通过形态学、生理学和细胞遗传学研究,评估了使用不同剂量叠氮化钠(SA)(0.2%、0.4%、0.6%、0.8%和1.0%)处理的物种的遗传变异性。在子叶、营养叶以及植株整体生长和习性方面观察到了形态变异。与对照相比,用0.2%和0.4%的SA处理时,一些定量参数,如株高、单株有效分枝数、单株荚数(或簇数)、每荚种子数和种子产量均有所增加。此外,与对照相比,用0.2%的SA处理的样品中总叶绿素含量和类胡萝卜素含量增加,但在较高浓度下则降低。扫描电子显微镜显示,在较低浓度的叠氮化钠处理下,气孔孔径和种子尺寸增大。该研究发现所研究的该物种的不同参数之间存在正相关,高r值表明了这一点。基于他们的研究结果,得出结论:使用0.2%和0.4%浓度的叠氮化钠可以改良葫芦巴的基因型。然而,对连续几代中观察到的变异体进行评估是验证它们作为作物遗传改良关键因素潜力的关键且必要的过程。

https://cdn.ncbi.nlm.nih.gov/pmc/blobs/0e85/11111941/e4f04c1ce88b/fgene-15-1378368-g001.jpg

文献AI研究员

20分钟写一篇综述,助力文献阅读效率提升50倍。

立即体验

用中文搜PubMed

大模型驱动的PubMed中文搜索引擎

马上搜索

文档翻译

学术文献翻译模型,支持多种主流文档格式。

立即体验