Center of Immuno-Physiology and Biotechnologies, Department of Functional Sciences, Victor Babes University of Medicine and Pharmacy, 300041 Timisoara, Romania.
OncoGen Center, Pius Brinzeu County Clinical Emergency Hospital, 300723 Timisoara, Romania.
Int J Mol Sci. 2024 May 9;25(10):5175. doi: 10.3390/ijms25105175.
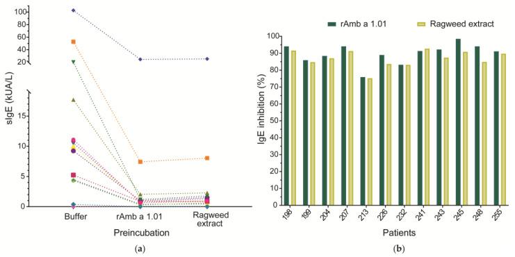
Common ragweed pollen allergy has become a health burden worldwide. One of the major allergens in ragweed allergy is Amb a 1, which is responsible for over 90% of the IgE response in ragweed-allergic patients. The major allergen isoform Amb a 1.01 is the most allergenic isoform in ragweed pollen. So far, no recombinant Amb a 1.01 with similar allergenic properties to its natural counterpart (nAmb a 1.01) has been produced. Hence, this study aimed to produce a recombinant Amb a 1.01 with similar properties to the natural isoform for improved ragweed allergy management. Amb a 1.01 was expressed in insect cells using a codon-optimized DNA construct with a removable -terminal His-Tag (rAmb a 1.01). The recombinant protein was purified by affinity chromatography and physicochemically characterized. The rAmb a 1.01 was compared to nAmb a 1.01 in terms of the IgE binding (enzyme-linked immunosorbent assay (ELISA), immunoblot) and allergenic activity (mediator release assay) in well-characterized ragweed-allergic patients. The rAmb a 1.01 exhibited similar IgE reactivity to nAmb a 1.01 in different IgE-binding assays (i.e., IgE immunoblot, ELISA, quantitative ImmunoCAP inhibition measurements). Furthermore, the rAmb a 1.01 showed comparable dose-dependent allergenic activity to nAmb a 1.01 regarding basophil activation. Overall, the results showed the successful expression of an rAmb a 1.01 with comparable characteristics to the corresponding natural isoform. Our findings provide the basis for an improvement in ragweed allergy research, diagnosis, and immunotherapy.
普通豚草花粉过敏已成为全球范围内的健康负担。豚草过敏的主要过敏原之一是 Amb a 1,它负责超过 90%的豚草过敏患者的 IgE 反应。主要过敏原同种型 Amb a 1.01 是豚草花粉中最具致敏性的同种型。到目前为止,尚未生产出具有与其天然对应物(nAmb a 1.01)相似的过敏原特性的重组 Amb a 1.01。因此,本研究旨在生产具有与天然同种型相似特性的重组 Amb a 1.01,以改善豚草过敏管理。使用带有可移除 -末端 His-Tag(rAmb a 1.01)的密码子优化 DNA 构建体在昆虫细胞中表达 Amb a 1.01。通过亲和层析纯化重组蛋白,并对其进行物理化学特性分析。将 rAmb a 1.01 与 nAmb a 1.01 进行比较,比较内容为在经过充分特征鉴定的豚草过敏患者中 IgE 结合(酶联免疫吸附测定 (ELISA)、免疫印迹)和过敏原活性(介质释放测定)。rAmb a 1.01 在不同的 IgE 结合测定(即 IgE 免疫印迹、ELISA、定量 ImmunoCAP 抑制测量)中显示出与 nAmb a 1.01 相似的 IgE 反应性。此外,rAmb a 1.01 在关于嗜碱性粒细胞激活的过敏原活性方面显示出与 nAmb a 1.01 相当的剂量依赖性。总体而言,结果表明成功表达了与相应天然同种型具有相似特性的 rAmb a 1.01。我们的研究结果为豚草过敏研究、诊断和免疫治疗的改进提供了依据。