Suppr超能文献

地区中心慢性血栓栓塞性肺动脉高压的合并症、治疗及生存率

Comorbidities, Treatment and Survival Rates of Chronic Thromboembolic Pulmonary Hypertension in a Regional Centre.

作者信息

Bertici Razvan Adrian, Bertici Nicoleta Sorina, Ridichie Amalia, Fira-Mladinescu Ovidiu

机构信息

Department XIII Pulmonology, Victor Babes University of Medicine and Pharmacy Timisoara, Eftimie Murgu Sq. No. 2, 300041 Timisoara, Romania.

Clinical Hospital of Infectious Diseases and Pulmonology Victor Babes Timisoara, Gheorghe Adam Street 13, 300310 Timisoara, Romania.

出版信息

J Clin Med. 2024 May 7;13(10):2754. doi: 10.3390/jcm13102754.

Abstract

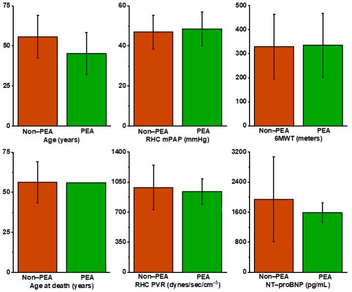
: Chronic thromboembolic pulmonary hypertension (CTEPH) is characterized by a multitude of underlying causes, treatment modalities and prognostic outcomes. Our aim was to evaluate the underlying causes, comorbidities and survival rates of CTEPH patients. : A retrospective analysis was conducted regarding the evolution of CTEPH patients confirmed by right heart catheterization under treatment with specific vasodilator medication in our centre between 2008 and 2023. : We treated 14 CTEPH patients, 78.57% female, 52.79 ± 13.64 years at inclusion, representing 11.29% of our pulmonary arterial hypertension registry. Initially, the distribution of patients' NYHA class was II-14.28%, III-71.42% and IV-14.28%. In total, 71.42% of these patients were technically operable due to the central location of the thrombus, but 42.85% presented severe comorbidities and 28.57% refused the surgery or it was financially inaccessible. Only four patients were operated on by pulmonary endarterectomy (PEA). Unfortunately, all the post-PEA patients had persistent pulmonary hypertension and had to continue vasodilator treatment. Overall, 64.28% of patients had monotherapy, 21.42% double therapy and 14.28% triple therapy. Regarding underlying causes and comorbidities, we found the following incidences: 78.57% chronic venous insufficiency, 42.85% obesity, 35.71% thyroid disease, hypertension and hyperuricemia, 21.42% thrombophilia and ischemic heart disease, 14.28% atrial fibrillation, vasculitis and lung disease, and 14.28% neoplastic history and diabetes. Seven patients died (50%), six of whom were unoperated and one of whom was lost (abandoned the program). The survival rates at 1, 3, 5 and 7 years for unoperated patients were 100%, 58.3%, 29.2% and 29.2% versus 100%, 75%, 75% and 75% in post-PEA patients. : CTEPH, marked by delayed diagnosis, multiple comorbidities and limited intervention options, requires proactive screening and comprehensive multimodal therapies, including PEA, to improve survival rates.

摘要

慢性血栓栓塞性肺动脉高压(CTEPH)具有多种潜在病因、治疗方式和预后结果。我们的目的是评估CTEPH患者的潜在病因、合并症和生存率。:对2008年至2023年期间在我们中心接受特定血管扩张剂药物治疗且经右心导管检查确诊的CTEPH患者的病情演变进行了回顾性分析。:我们治疗了14例CTEPH患者,其中78.57%为女性,纳入时年龄为52.79±13.64岁,占我们肺动脉高压登记患者的11.29%。最初,患者的纽约心脏协会(NYHA)心功能分级分布为:II级占14.28%,III级占71.42%,IV级占14.28%。总体而言,这些患者中有71.42%因血栓位于中心部位而在技术上可进行手术,但42.85%的患者存在严重合并症,28.57%的患者拒绝手术或因经济原因无法进行手术。只有4例患者接受了肺动脉内膜剥脱术(PEA)。不幸的是,所有接受PEA手术后的患者仍存在持续性肺动脉高压,不得不继续接受血管扩张剂治疗。总体而言,64.28%的患者接受单一疗法,21.42%接受双重疗法,14.28%接受三重疗法。关于潜在病因和合并症,我们发现以下发病率:慢性静脉功能不全占78.57%,肥胖占42.85%,甲状腺疾病、高血压和高尿酸血症占35.71%,血栓形成倾向和缺血性心脏病占21.42%,心房颤动、血管炎和肺部疾病占14.28%,有肿瘤病史和糖尿病占14.28%。7例患者死亡(50%),其中6例未接受手术,1例失访(放弃治疗方案)。未接受手术患者1年、3年、5年和7年的生存率分别为100%、58.3%、29.2%和29.2%,而接受PEA手术后患者的生存率分别为100%、75%、75%和75%。:CTEPH的特点是诊断延迟、合并症多且干预选择有限,需要积极筛查和综合多模式治疗,包括PEA,以提高生存率。

https://cdn.ncbi.nlm.nih.gov/pmc/blobs/9c7c/11122045/f99be98f7969/jcm-13-02754-g001.jpg

文献检索

告别复杂PubMed语法,用中文像聊天一样搜索,搜遍4000万医学文献。AI智能推荐,让科研检索更轻松。

立即免费搜索

文件翻译

保留排版,准确专业,支持PDF/Word/PPT等文件格式,支持 12+语言互译。

免费翻译文档

深度研究

AI帮你快速写综述,25分钟生成高质量综述,智能提取关键信息,辅助科研写作。

立即免费体验