Suppr超能文献

基于表面肌电的下肢运动识别的改进 SVM

Lower Limb Motion Recognition with Improved SVM Based on Surface Electromyography.

机构信息

College of Computer Science and Technology, Xi'an University of Science and Technology, Xi'an 710054, China.

School of Computer Science and Engineering, Xi'an University of Technology, Xi'an 710048, China.

出版信息

Sensors (Basel). 2024 May 13;24(10):3097. doi: 10.3390/s24103097.

Abstract

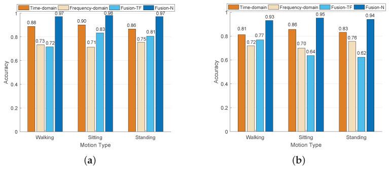
During robot-assisted rehabilitation, failure to recognize lower limb movement may efficiently limit the development of exoskeleton robots, especially for individuals with knee pathology. A major challenge encountered with surface electromyography (sEMG) signals generated by lower limb movements is variability between subjects, such as motion patterns and muscle structure. To this end, this paper proposes an sEMG-based lower limb motion recognition using an improved support vector machine (SVM). Firstly, non-negative matrix factorization (NMF) is leveraged to analyze muscle synergy for multi-channel sEMG signals. Secondly, the multi-nonlinear sEMG features are extracted, which reflect the complexity of muscle status change during various lower limb movements. The Fisher discriminant function method is utilized to perform feature selection and reduce feature dimension. Then, a hybrid genetic algorithm-particle swarm optimization (GA-PSO) method is leveraged to determine the best parameters for SVM. Finally, the experiments are carried out to distinguish 11 healthy and 11 knee pathological subjects by performing three different lower limb movements. Results demonstrate the effectiveness and feasibility of the proposed approach in three different lower limb movements with an average accuracy of 96.03% in healthy subjects and 93.65% in knee pathological subjects, respectively.

摘要

在机器人辅助康复过程中,无法识别下肢运动可能会有效地限制外骨骼机器人的发展,特别是对于膝关节病变的个体。下肢运动产生的表面肌电 (sEMG) 信号的一个主要挑战是受试者之间的可变性,例如运动模式和肌肉结构。为此,本文提出了一种基于 sEMG 的下肢运动识别方法,该方法使用改进的支持向量机 (SVM)。首先,利用非负矩阵分解 (NMF) 分析多通道 sEMG 信号中的肌肉协同作用。其次,提取多非线性 sEMG 特征,反映不同下肢运动过程中肌肉状态变化的复杂性。利用 Fisher 判别函数方法进行特征选择和降维。然后,利用混合遗传算法-粒子群优化 (GA-PSO) 方法确定 SVM 的最佳参数。最后,通过进行三种不同的下肢运动,对 11 名健康和 11 名膝关节病变的受试者进行了实验。结果表明,在三种不同的下肢运动中,该方法的有效性和可行性,在健康受试者中的平均准确率为 96.03%,在膝关节病变受试者中的准确率为 93.65%。

https://cdn.ncbi.nlm.nih.gov/pmc/blobs/d33d/11125431/f1ddcfd7fb34/sensors-24-03097-g001.jpg

文献AI研究员

20分钟写一篇综述,助力文献阅读效率提升50倍。

立即体验

用中文搜PubMed

大模型驱动的PubMed中文搜索引擎

马上搜索

文档翻译

学术文献翻译模型,支持多种主流文档格式。

立即体验