Lin Ming-Lu, Wu Siao-Yun, Chen Jyh-Ping, Lu Yi-Ching, Jung Shih-Ming, Wey Shiaw-Pyng, Wu Tony, Ma Yunn-Hwa
Department of Physiology & Pharmacology, College of Medicine, Chang Gung University, Guishan, Taoyuan 33302, Taiwan.
Department of Chemical and Materials Engineering, College of Engineering, Chang Gung University, Guishan, Taoyuan 33302, Taiwan.
Pharmaceutics. 2024 Apr 27;16(5):596. doi: 10.3390/pharmaceutics16050596.
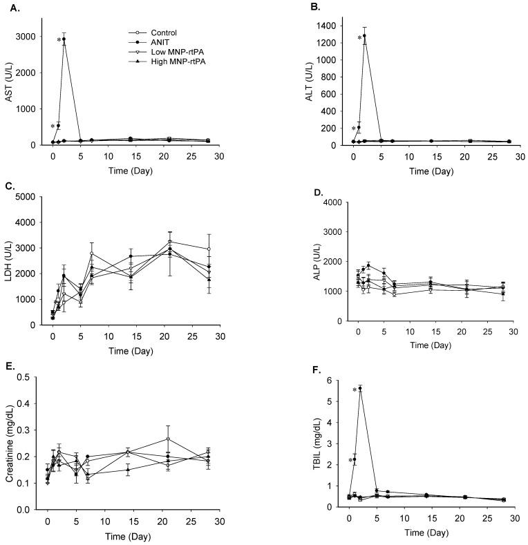
Plasminogen activators, such as recombinant tissue-type plasminogen activators (rtPAs), while effective in treating thromboembolic diseases, often induce hemorrhagic complications due to non-specific enzyme activities in the systemic circulation. This study evaluated the targeting efficiency, efficacy, biodistribution, and potential toxicity of a rtPA covalently attached to chitosan-coated magnetic nanoparticles (chitosan-MNP-rtPA). The thrombolytic activity of a chitosan-MNP-rtPA was preserved by protection from an endogenous plasminogen activator inhibitor-1 (PAI-1) in whole blood and after circulation in vivo, as examined by thromboelastometry. Single-photon emission computed tomography (SPECT) demonstrated real-time retention of a Tc-MNP-rtPA induced by magnet application in a rat embolic model; an 80% reduction in rtPA dosage for a chitosan-MNP-rtPA with magnetic guidance was shown to restore blood flow. After treatment, iron deposition was observed in the reticuloendothelial systems, with portal edema and neutrophil infiltration in the liver at a ten-fold higher dose but not the regular dose. Nevertheless, no liver or renal toxicity was observed at this higher dose. In conclusion, the liver may still be the major deposit site of rtPA nanocomposites after targeted delivery; chitosan-coated MNPs are potentially amenable to target therapeutics with parenteral administration.
纤溶酶原激活剂,如重组组织型纤溶酶原激活剂(rtPA),虽然在治疗血栓栓塞性疾病方面有效,但由于其在体循环中的非特异性酶活性,常常会引发出血并发症。本研究评估了共价连接到壳聚糖包被磁性纳米颗粒(壳聚糖-MNP-rtPA)上的rtPA的靶向效率、疗效、生物分布及潜在毒性。通过血栓弹力图检测发现,壳聚糖-MNP-rtPA的溶栓活性在全血中以及体内循环后因受到内源性纤溶酶原激活剂抑制剂-1(PAI-1)的保护而得以保留。单光子发射计算机断层扫描(SPECT)显示,在大鼠栓塞模型中,通过施加磁场可使Tc-MNP-rtPA实时滞留;结果表明,在磁性引导下,壳聚糖-MNP-rtPA的rtPA剂量降低80%即可恢复血流。治疗后,在网状内皮系统中观察到铁沉积,在高十倍剂量而非常规剂量下,肝脏出现门静脉水肿和中性粒细胞浸润。然而,在此高剂量下未观察到肝脏或肾脏毒性。总之,靶向递送后,肝脏可能仍是rtPA纳米复合材料的主要沉积部位;壳聚糖包被的磁性纳米颗粒在肠胃外给药的靶向治疗中具有潜在适用性。