Suppr超能文献

儿童主动脉根部、主动脉及主动脉弓的正常计算机断层扫描血管造影值

Normative Computed Tomography Angiography Values of the Aortic Root, Aorta and Aortic arch in Children.

作者信息

Donthula Rakesh, Li Wen, Duvvada Archita, Dyer Dan, Uppu Santosh C

机构信息

the University of Texas McGovern Medical School at Houston.

The University of Texas at Austin.

出版信息

Res Sq. 2024 May 17:rs.3.rs-4406785. doi: 10.21203/rs.3.rs-4406785/v1.

Abstract

PURPOSE

Normative values for intracardiac and extracardiac vascular structures help in understanding normal growth and changes over time in children; this normative data are not currently available for ECG-gated Computed Tomography Angiography (CTA). We sought to establish ECG-gated CTA derived normative values for the aortic root, aorta and aortic arch in children.

METHODS AND RESULTS

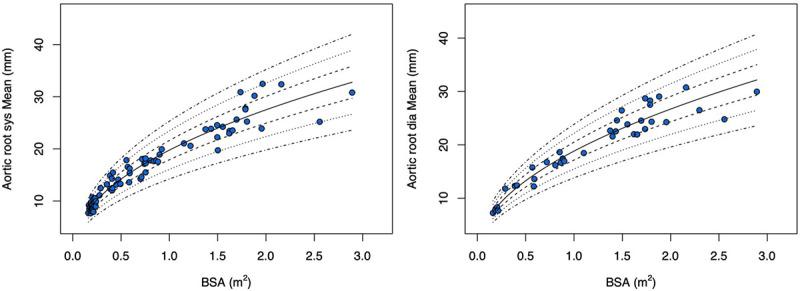
Aortic root, ascending aorta, aortic arch, and descending aorta were measured in systole and diastole in 100 subjects who had ECG-gated CTA at our center between January 2015 through December 2020 and met our inclusion criteria. The allometric exponent (AE) for each parameter was derived, and the parameter/body surface area (BSA) was established using the previously described methods. Using this data, normalized mean, cross-sectional area, and standard deviation were calculated. Z-score curves were plotted in relation to the BSA for all measurements.

CONCLUSION

Our study reports systolic and diastolic ECG-gated CTA Z-scores along with normative curves in relation to BSA for the aortic root, aorta and aortic arch in children.

摘要

目的

心内和心外血管结构的正常数值有助于理解儿童的正常生长及随时间的变化;目前尚无关于心电图门控计算机断层扫描血管造影(CTA)的此类正常数据。我们试图建立儿童主动脉根部、主动脉及主动脉弓的心电图门控CTA衍生正常数值。

方法与结果

对2015年1月至2020年12月期间在我们中心接受心电图门控CTA且符合纳入标准的100名受试者,在收缩期和舒张期测量主动脉根部、升主动脉、主动脉弓及降主动脉。得出每个参数的异速生长指数(AE),并使用先前描述的方法确定参数/体表面积(BSA)。利用这些数据,计算标准化均值、横截面积及标准差。针对所有测量结果,绘制相对于BSA的Z评分曲线。

结论

我们的研究报告了儿童主动脉根部、主动脉及主动脉弓的收缩期和舒张期心电图门控CTA的Z评分以及相对于BSA的正常曲线。

https://cdn.ncbi.nlm.nih.gov/pmc/blobs/f58c/11118707/fe20f8bfe3d9/nihpp-rs4406785v1-f0001.jpg

文献AI研究员

20分钟写一篇综述,助力文献阅读效率提升50倍。

立即体验

用中文搜PubMed

大模型驱动的PubMed中文搜索引擎

马上搜索

文档翻译

学术文献翻译模型,支持多种主流文档格式。

立即体验