Suppr超能文献

联合应用氟尿嘧啶、亚叶酸和吡哆醇治疗晚期癌患者。

Treatment of patients with carcinomas in advanced stages with 5-fluorouracil, folinic acid and pyridoxine in tandem.

机构信息

INSERM U935-UA09, University Paris-Saclay, Paul-Brousse Hospital, 12, Avenue Paul-Vaillant-Couturier, 94800, Villejuif, France.

Department of Medical Oncology, University Paris-Saclay, Paul-Brousse Hospital, Assistance Publique-Hôpitaux de Paris (APHP), 94800, Villejuif, France.

出版信息

Sci Rep. 2024 May 27;14(1):12054. doi: 10.1038/s41598-024-62860-z.

Abstract

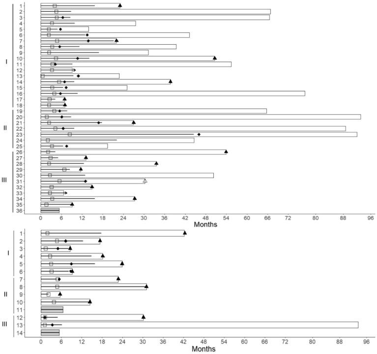
The effect of high-dose pyridoxine (PN) on activity of 5-fluorouracil (FUra) and folinic acid (FA)-containing regimens was studied in 50 patients including 14 with digestive tract, and 36 with breast carcinomas (BC) in advanced stages with poor prognostic characteristics. Patients with colorectal, and pancreas adenocarcinoma received oxaliplatin, irinotecan, FUra, FA (Folfirinox), and patients with squamous cell carcinoma of the esophagus had paclitaxel, carboplatin, FUra, FA (TCbF). Patients with BC received AVCF (doxorubicin, vinorelbine, cyclophosphamide, FUra, FA) followed by TCbF or TCbF only, and patients who overexpressed HER2 received TCbF plus trastuzumab and pertuzumab. PN (1000-3000 mg/day iv) preceded each administration of FUra and FA. 47 patients (94%) responded, including 16 (32%) with CR. Median tumor reduction was 93%. Median event-free survival (EFS) was 37.7 months. The 25 patients with tumor shrinkage ≥ 91% had EFS of 52% from 42 months onwards. Unexpected toxicity did not occur. PN enhances potency of chemotherapy regimens comprising FUra and FA.

摘要

研究了大剂量吡哆醇(PN)对含 5-氟尿嘧啶(FUra)和甲酰四氢叶酸(FA)的方案在 50 例患者中的作用,包括 14 例消化系统和 36 例晚期乳腺癌(BC)患者,这些患者具有不良预后特征。结直肠癌和胰腺腺癌患者接受奥沙利铂、伊立替康、FUra、FA(Folfirinox)治疗,食管鳞状细胞癌患者接受紫杉醇、卡铂、FUra、FA(TCbF)治疗。BC 患者接受 AVCF(阿霉素、长春瑞滨、环磷酰胺、FUra、FA)治疗,然后接受 TCbF 或仅 TCbF 治疗,HER2 过表达的患者接受 TCbF 加曲妥珠单抗和帕妥珠单抗治疗。PN(1000-3000mg/天静脉注射)在每个 FUra 和 FA 给药前给予。47 例(94%)患者有反应,包括 16 例(32%)完全缓解。肿瘤缩小中位数为 93%。中位无进展生存期(EFS)为 37.7 个月。25 例肿瘤缩小≥91%的患者,EFS 从 42 个月开始为 52%。未发生意外毒性。PN 增强了包含 FUra 和 FA 的化疗方案的效力。

https://cdn.ncbi.nlm.nih.gov/pmc/blobs/8580/11130240/9f911fb20386/41598_2024_62860_Fig1_HTML.jpg

文献检索

告别复杂PubMed语法,用中文像聊天一样搜索,搜遍4000万医学文献。AI智能推荐,让科研检索更轻松。

立即免费搜索

文件翻译

保留排版,准确专业,支持PDF/Word/PPT等文件格式,支持 12+语言互译。

免费翻译文档

深度研究

AI帮你快速写综述,25分钟生成高质量综述,智能提取关键信息,辅助科研写作。

立即免费体验