Suppr超能文献

弹性食品材料脱水过程中孔隙形成的解析解和数值解

Analytical and numerical solutions of pore formation in elastic food materials during dehydration.

作者信息

van der Sman R G M, Curatolo Michele, Teresi Luciano

机构信息

Wageningen-Food & Biobased Research, Netherlands.

Food Process Engineering, Wageningen University & Research, Netherlands.

出版信息

Curr Res Food Sci. 2024 May 16;8:100762. doi: 10.1016/j.crfs.2024.100762. eCollection 2024.

Abstract

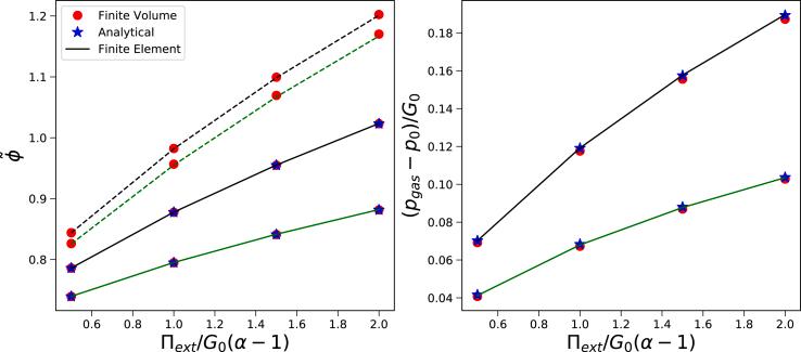
In this paper, we describe a model for pore formation in food materials during drying. As a proxy for fruits and vegetables, we take a spherical hydrogel, with a stiff elastic skin, and a central cavity filled with air and water vapour. The model describes moisture transport coupled to large deformation mechanics. Both stress and chemical potential are derived from a free energy functional, following the framework developed by Suo and coworkers. We have compared Finite Volume and Finite Element implementations and analytical solutions with each other, and we show that they render similar solutions. The Finite Element solver has a larger range of numerical stability than the Finite Volume solver, and the analytical solution also has a limited range of validity. Since the Finite Element solver operates using the mathematically intricate weak form, we introduce the method in a tutorial manner for food scientists. Subsequently, we have explored the physics of the pore formation problem further with the Finite Element solver. We show that the presence of an elastic skin is a prerequisite for the growth of the central cavity. The elastic skin must have an elastic modulus of at least 10 times that of the hydrogel. An initial pore with 10% of the size of the gel can grow to 5 times its initial size. Such an increase in porosity has been reported in the literature on drying of vegetables, if a dense hard skin is formed, known as case hardening. We discuss that models as presented in this paper, where moisture transport is strongly coupled to large deformation mechanics, are required if one wants to describe pore/structure formation during drying and intensive heating (as baking and frying) of food materials from first principles.

摘要

在本文中,我们描述了一种食品材料干燥过程中孔隙形成的模型。作为水果和蔬菜的替代物,我们采用一个球形水凝胶,其具有坚硬的弹性表皮,以及一个充满空气和水蒸气的中心腔。该模型描述了与大变形力学耦合的水分传输。应力和化学势均源自一个自由能泛函,遵循索(Suo)及其同事所建立的框架。我们将有限体积法和有限元法的实现以及解析解相互进行了比较,结果表明它们给出的解相似。有限元求解器的数值稳定性范围比有限体积求解器更大,且解析解的有效性范围也有限。由于有限元求解器使用数学上复杂的弱形式进行运算,我们以教程的方式为食品科学家介绍该方法。随后,我们使用有限元求解器进一步探索了孔隙形成问题的物理机制。我们表明,弹性表皮的存在是中心腔生长的先决条件。弹性表皮的弹性模量必须至少是水凝胶弹性模量的10倍。一个初始尺寸为凝胶尺寸10%的孔隙可以增长到其初始尺寸的5倍。如果形成致密的硬皮(即所谓的表面硬化),在蔬菜干燥的文献中已报道过这种孔隙率的增加。我们讨论了,如果要从第一原理描述食品材料在干燥和强热(如烘焙和油炸)过程中的孔隙/结构形成,就需要本文所提出的这种水分传输与大变形力学紧密耦合的模型。

https://cdn.ncbi.nlm.nih.gov/pmc/blobs/b89f/11131083/1c1cc0abcc23/ga1.jpg

文献检索

告别复杂PubMed语法,用中文像聊天一样搜索,搜遍4000万医学文献。AI智能推荐,让科研检索更轻松。

立即免费搜索

文件翻译

保留排版,准确专业,支持PDF/Word/PPT等文件格式,支持 12+语言互译。

免费翻译文档

深度研究

AI帮你快速写综述,25分钟生成高质量综述,智能提取关键信息,辅助科研写作。

立即免费体验