Suppr超能文献

在复发/难治性 B 细胞非霍奇金淋巴瘤中,莫努匹韦单抗的群体药代动力学和 CD20 结合动力学。

Population pharmacokinetics and CD20 binding dynamics for mosunetuzumab in relapsed/refractory B-cell non-Hodgkin lymphoma.

机构信息

Department of Clinical Pharmacology, Genentech Inc., South San Francisco, California, USA.

Certara Strategic Consulting, Paris, France.

出版信息

Clin Transl Sci. 2024 Jun;17(6):e13825. doi: 10.1111/cts.13825.

Abstract

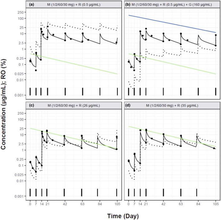
Mosunetuzumab (Mosun) is a CD20xCD3 T-cell engaging bispecific antibody that redirects T cells to eliminate malignant B cells. The approved step-up dose regimen of 1/2/60/30 mg IV is designed to mitigate cytokine release syndrome (CRS) and maximize efficacy in early cycles. A population pharmacokinetic (popPK) model was developed from 439 patients with relapsed/refractory B-Cell Non-Hodgkin lymphoma receiving Mosun IV monotherapy, including fixed dosing (0.05-2.8 mg IV every 3 weeks (q3w)) and Cycle 1 step-up dosing groups (0.4/1/2.8-1/2/60/30 mg IV q3w). Prior to Mosun treatment, ~50% of patients had residual levels of anti-CD20 drugs (e.g., rituximab or obinutuzumab) from prior treatment. CD20 receptor binding dynamics and rituximab/obinutuzumab PK were incorporated into the model to calculate the Mosun CD20 receptor occupancy percentage (RO%) over time. A two-compartment model with time-dependent clearance (CL) best described the data. The typical patient had an initial CL of 1.08 L/day, transitioning to a steady-state CL of 0.584 L/day. Statistically relevant covariates on PK parameters included body weight, albumin, sex, tumor burden, and baseline anti-CD20 drug concentration; no covariate was found to have a clinically relevant impact on exposure at the approved dose. Mosun CD20 RO% was highly variable, attributed to the large variability in residual baseline anti-CD20 drug concentration (median = 10 μg/mL). The 60 mg loading doses increased Mosun CD20 RO% in Cycle 1, providing efficacious exposures in the presence of the competing anti-CD20 drugs. PopPK model simulations, investigating Mosun dose delays, informed treatment resumption protocols to ensure CRS mitigation.

摘要

莫舒努单抗(Mosun)是一种靶向 CD20xCD3 的双特异性 T 细胞衔接抗体,可将 T 细胞重定向以消除恶性 B 细胞。获批的 1/2/60/30mg IV 逐步递增剂量方案旨在减轻细胞因子释放综合征(CRS)并在早期周期内实现最大疗效。对 439 例接受 Mosun IV 单药治疗的复发/难治性 B 细胞非霍奇金淋巴瘤患者进行了群体药代动力学(popPK)模型开发,包括固定剂量(0.05-2.8mg IV 每 3 周(q3w))和 1 周期递增剂量组(0.4/1/2.8-1/2/60/30mg IV q3w)。在 Mosun 治疗前,约 50%的患者有来自先前治疗的抗 CD20 药物(例如利妥昔单抗或奥滨尤妥珠单抗)的残留水平。CD20 受体结合动力学和利妥昔单抗/奥滨尤妥珠单抗 PK 被纳入模型,以计算随时间推移的 Mosun CD20 受体占有率(RO%)。时间依赖性清除率(CL)的两室模型最能描述数据。典型患者的初始 CL 为 1.08L/天,过渡到稳态 CL 为 0.584L/天。对 PK 参数有统计学意义的协变量包括体重、白蛋白、性别、肿瘤负担和基线抗 CD20 药物浓度;未发现协变量对批准剂量下的暴露有临床相关影响。Mosun CD20 RO% 高度可变,归因于残留基线抗 CD20 药物浓度的较大变异性(中位数=10μg/mL)。60mg 负荷剂量在第 1 周期增加了 Mosun CD20 RO%,在存在竞争抗 CD20 药物的情况下提供了有效的暴露。Mosun 剂量延迟的 popPK 模型模拟为确保减轻 CRS 提供了治疗恢复方案。

https://cdn.ncbi.nlm.nih.gov/pmc/blobs/1180/11134317/16d3013aad6a/CTS-17-e13825-g001.jpg

文献AI研究员

20分钟写一篇综述,助力文献阅读效率提升50倍。

立即体验

用中文搜PubMed

大模型驱动的PubMed中文搜索引擎

马上搜索

文档翻译

学术文献翻译模型,支持多种主流文档格式。

立即体验