• 文献检索
  • 文档翻译
  • 深度研究
  • 学术资讯
  • Suppr Zotero 插件Zotero 插件
  • 邀请有礼
  • 套餐&价格
  • 历史记录
应用&插件
Suppr Zotero 插件Zotero 插件浏览器插件Mac 客户端Windows 客户端微信小程序
定价
高级版会员购买积分包购买API积分包
服务
文献检索文档翻译深度研究API 文档MCP 服务
关于我们
关于 Suppr公司介绍联系我们用户协议隐私条款
关注我们

Suppr 超能文献

核心技术专利:CN118964589B侵权必究
粤ICP备2023148730 号-1Suppr @ 2026

文献检索

告别复杂PubMed语法,用中文像聊天一样搜索,搜遍4000万医学文献。AI智能推荐,让科研检索更轻松。

立即免费搜索

文件翻译

保留排版,准确专业,支持PDF/Word/PPT等文件格式,支持 12+语言互译。

免费翻译文档

深度研究

AI帮你快速写综述,25分钟生成高质量综述,智能提取关键信息,辅助科研写作。

立即免费体验

微结构气-液-(固)界面:一种用于商品化学品可持续合成的平台。

Microstructured gas-liquid-(solid) interfaces: A platform for sustainable synthesis of commodity chemicals.

作者信息

Wang Kang, Pera-Titus Marc

机构信息

Cardiff Catalysis Institute, Cardiff University, Cardiff CF10 3AT, UK.

出版信息

Sci Adv. 2024 May 31;10(22):eado5448. doi: 10.1126/sciadv.ado5448. Epub 2024 May 29.

DOI:10.1126/sciadv.ado5448
PMID:38809985
原文链接:https://pmc.ncbi.nlm.nih.gov/articles/PMC11135396/
Abstract

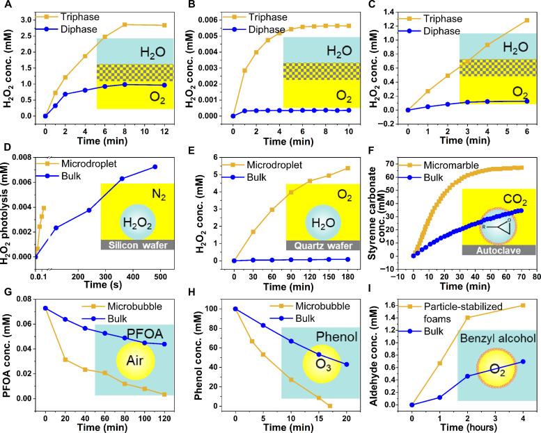
Gas-liquid-solid catalytic reactions are widespread in nature and man-made technologies. Recently, the exceptional reactivity observed on (electro)sprayed microdroplets, in comparison to bulk gas-liquid systems, has attracted the attention of researchers. In this perspective, we compile possible strategies to engineer catalytically active gas-liquid-(solid) interfaces based on membrane contactors, microdroplets, micromarbles, microbubbles, and microfoams to produce commodity chemicals such as hydrogen peroxide, ammonia, and formic acid. In particular, particle-stabilized microfoams, with superior upscaling capacity, emerge as a promising and versatile platform to conceive high-performing (catalytic) gas-liquid-(solid) nanoreactors. Gas-liquid-(solid) nanoreactors could circumvent current limitations of state-of-the-art multiphase reactors (e.g., stirred tanks, trickle beds, and bubble columns) suffering from poor gas solubility and mass transfer resistances and access gas-liquid-(solid) reactors with lower cost and carbon footprint.

摘要

气-液-固催化反应在自然界和人造技术中广泛存在。最近,与本体气-液系统相比,(电)喷雾微滴所表现出的卓越反应活性引起了研究人员的关注。从这个角度出发,我们汇总了基于膜接触器、微滴、微珠、微泡和微泡沫来设计具有催化活性的气-液-(固)界面的可能策略,以生产过氧化氢、氨和甲酸等商品化学品。特别是,具有卓越放大能力的颗粒稳定微泡沫,成为构建高性能(催化)气-液-(固)纳米反应器的一个有前景且通用的平台。气-液-(固)纳米反应器可以规避当前先进多相反应器(如搅拌槽、滴流床和鼓泡塔)存在的局限性,这些反应器存在气体溶解度低和传质阻力的问题,并且可以以更低的成本和碳足迹使用气-液-(固)反应器。

https://cdn.ncbi.nlm.nih.gov/pmc/blobs/956b/11135396/08e50e1324e7/sciadv.ado5448-f2.jpg
https://cdn.ncbi.nlm.nih.gov/pmc/blobs/956b/11135396/29af51562c54/sciadv.ado5448-f1.jpg
https://cdn.ncbi.nlm.nih.gov/pmc/blobs/956b/11135396/08e50e1324e7/sciadv.ado5448-f2.jpg
https://cdn.ncbi.nlm.nih.gov/pmc/blobs/956b/11135396/29af51562c54/sciadv.ado5448-f1.jpg
https://cdn.ncbi.nlm.nih.gov/pmc/blobs/956b/11135396/08e50e1324e7/sciadv.ado5448-f2.jpg

相似文献

1
Microstructured gas-liquid-(solid) interfaces: A platform for sustainable synthesis of commodity chemicals.微结构气-液-(固)界面:一种用于商品化学品可持续合成的平台。
Sci Adv. 2024 May 31;10(22):eado5448. doi: 10.1126/sciadv.ado5448. Epub 2024 May 29.
2
Multiphase Microreactors Based on Liquid-Liquid and Gas-Liquid Dispersions Stabilized by Colloidal Catalytic Particles.基于由胶体催化颗粒稳定的液-液和气-液分散体的多相微反应器。
Angew Chem Int Ed Engl. 2022 Jan 21;61(4):e202107537. doi: 10.1002/anie.202107537. Epub 2021 Oct 1.
3
Computational Modeling of Multiphase Reactors.多相反应器的计算建模
Annu Rev Chem Biomol Eng. 2015;6:347-78. doi: 10.1146/annurev-chembioeng-061114-123229. Epub 2015 Jul 2.
4
Making ammonia from nitrogen and water microdroplets.从氮气和水微滴中制造氨。
Proc Natl Acad Sci U S A. 2023 Apr 18;120(16):e2301206120. doi: 10.1073/pnas.2301206120. Epub 2023 Apr 10.
5
Potential application of monolith packed columns as bioreactors, control of biofilm formation.整体填充柱作为生物反应器的潜在应用,生物膜形成的控制。
Biotechnol Bioeng. 2006 Feb 5;93(2):238-45. doi: 10.1002/bit.20674.
6
Multiphase Methods in Organic Electrosynthesis.多相方法在有机电合成中的应用。
Acc Chem Res. 2019 Dec 17;52(12):3325-3338. doi: 10.1021/acs.accounts.9b00480. Epub 2019 Nov 25.
7
Incorporating hydrodynamics into spatiotemporal metabolic models of bubble column gas fermentation.将水动力纳入鼓泡塔气体发酵时空代谢模型中。
Biotechnol Bioeng. 2019 Jan;116(1):28-40. doi: 10.1002/bit.26848. Epub 2018 Oct 27.
8
Multiphase optofluidics on an electro-microfluidic platform powered by electrowetting and dielectrophoresis.基于电润湿和介电泳驱动的电微流控平台上的多相光流体学。
Lab Chip. 2014 Aug 7;14(15):2728-38. doi: 10.1039/c4lc00317a. Epub 2014 Jun 5.
9
A critical review in recent progress of hollow fiber membrane contactors for efficient CO separations.高效CO分离中空纤维膜接触器近期进展的批判性综述。
Chemosphere. 2023 Jun;325:138300. doi: 10.1016/j.chemosphere.2023.138300. Epub 2023 Mar 7.
10
One-step Formation of Urea from Carbon Dioxide and Nitrogen Using Water Microdroplets.利用水微滴由二氧化碳和氮气一步合成尿素
J Am Chem Soc. 2023 Nov 29;145(47):25910-25916. doi: 10.1021/jacs.3c10784. Epub 2023 Nov 15.

引用本文的文献

1
Surface-Active Catalysts for Interfacial Gas-Liquid-Solid Reactions.用于界面气-液-固反应的表面活性催化剂。
Acc Mater Res. 2025 May 9;6(6):720-729. doi: 10.1021/accountsmr.5c00026. eCollection 2025 Jun 27.
2
Harnessing air-water interface to generate interfacial ROS for ultrafast environmental remediation.利用气-水界面生成界面活性氧用于超快速环境修复。
Nat Commun. 2024 Oct 14;15(1):8860. doi: 10.1038/s41467-024-53289-z.

本文引用的文献

1
A contact-electro-catalysis process for producing reactive oxygen species by ball milling of triboelectric materials.一种通过摩擦电材料的球磨产生活性氧的接触电催化过程。
Nat Commun. 2024 Jan 26;15(1):757. doi: 10.1038/s41467-024-45041-4.
2
Accelerated Photolysis of HO at the Air-Water Interface of a Microdroplet.微滴气-水界面处HO的加速光解
J Am Chem Soc. 2023 Nov 1. doi: 10.1021/jacs.3c08101.
3
One-Step, Catalyst-Free Formation of Phenol from Benzoic Acid Using Water Microdroplets.利用水微滴一步法、无催化剂由苯甲酸制备苯酚
J Am Chem Soc. 2023 Sep 6;145(35):19202-19206. doi: 10.1021/jacs.3c08638. Epub 2023 Aug 25.
4
Spraying Small Water Droplets Acts as a Bacteriocide.喷洒小水滴可起到杀菌作用。
QRB Discov. 2020 Aug 6;1:e3. doi: 10.1017/qrd.2020.2. eCollection 2020.
5
Tribochemically Controlled Atom Transfer Radical Polymerization Enabled by Contact Electrification.通过接触起电实现的摩擦化学控制原子转移自由基聚合
Angew Chem Int Ed Engl. 2023 Sep 11;62(37):e202309440. doi: 10.1002/anie.202309440. Epub 2023 Aug 7.
6
Mechanism for Generating H O at Water-Solid Interface by Contact-Electrification.通过接触起电在水-固界面生成过氧化氢的机制。
Adv Mater. 2023 Nov;35(46):e2304387. doi: 10.1002/adma.202304387. Epub 2023 Oct 15.
7
Spontaneous Generation of Aryl Carbocations from Phenols in Aqueous Microdroplets: Aromatic S1 Reactions at the Air-Water Interface.酚类在水微滴中自发生成芳基碳正离子:气-水界面处的芳香族S1反应
J Am Chem Soc. 2023 Jul 26;145(29):15674-15679. doi: 10.1021/jacs.3c04662. Epub 2023 Jul 12.
8
Significant Acceleration of Photocatalytic CO Reduction at the Gas-Liquid Interface of Microdroplets.在微液滴的气-液界面处显著加速光催化 CO 还原。
Angew Chem Int Ed Engl. 2023 Jul 3;62(27):e202304189. doi: 10.1002/anie.202304189. Epub 2023 May 22.
9
Molecular reactions at aqueous interfaces.水界面的分子反应。
Nat Rev Chem. 2020 Sep;4(9):459-475. doi: 10.1038/s41570-020-0203-2. Epub 2020 Jul 16.
10
Making ammonia from nitrogen and water microdroplets.从氮气和水微滴中制造氨。
Proc Natl Acad Sci U S A. 2023 Apr 18;120(16):e2301206120. doi: 10.1073/pnas.2301206120. Epub 2023 Apr 10.