Suppr超能文献

分离视觉搜索模板的颜色和形状信息对搜索引导和验证时间的影响。

Isolating the impact of a visual search template's color and form information on search guidance and verification times.

机构信息

Department of Psychology, Michigan State University, 316 Physic Rd, East Lansing, MI, 48823, USA.

出版信息

Atten Percept Psychophys. 2024 Oct;86(7):2275-2288. doi: 10.3758/s13414-024-02899-2. Epub 2024 May 29.

Abstract

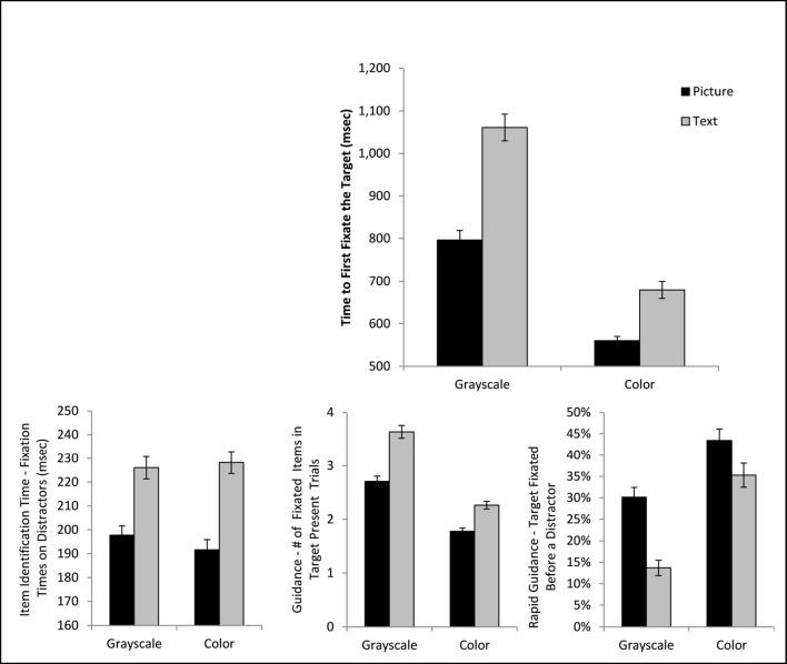
Visual search can be guided by biasing one's attention towards features associated with a target. Prior work has shown that high-fidelity, picture-based cues are more beneficial to search than text-based cues. However, typically picture cues provide both detailed form information and color information that is absent from text-based cues. Given that visual resolution deteriorates with eccentricity, it is not clear that high-fidelity form information would benefit guidance to peripheral objects - much of the picture benefit could be due to color information alone. To address this, we conducted a search task with eye-tracking that had four types of cues that comprised a 2 (text/pictorial cue) × 2 (no color/color) design. We hypothesized that color information would be important for efficient search guidance while high-fidelity form information would be important for efficient verification times. In Experiment 1 cues were a colored picture of the target, a gray-scaled picture of the target, a text-based cue that included color (e.g., "blue shoe"), or a text-based cue without color (e.g., "shoe"). Experiment 2 was a replication of Experiment 1, except that the color word in the text-based cue was presented in the precise color that was the dominant color in the target. Our results show that high-fidelity form information is important for efficient verifications times (with color playing less of a role) and color is important for efficient guidance, but form information also benefits guidance. These results suggest that different features of the cue independently contribute to different aspects of the search process.

摘要

视觉搜索可以通过引导注意力关注与目标相关的特征来实现。先前的研究表明,高保真度、基于图片的线索比基于文本的线索更有利于搜索。然而,通常情况下,图片线索不仅提供了详细的形状信息,还提供了文本线索所没有的颜色信息。由于视觉分辨率随离中心距离的增加而下降,因此尚不清楚高保真度的形状信息是否会有益于对周围物体的引导——图片线索的大部分优势可能仅归因于颜色信息。为了解决这个问题,我们进行了一项带有眼动追踪的搜索任务,该任务有四种线索,采用了 2(文本/图像线索)×2(无颜色/有颜色)的设计。我们假设颜色信息对于高效的搜索引导很重要,而高保真度的形状信息对于高效的验证时间很重要。在实验 1 中,线索是目标的彩色图片、目标的灰度图片、包含颜色的文本线索(例如“蓝色鞋子”)或不包含颜色的文本线索(例如“鞋子”)。实验 2 是实验 1 的重复,只是文本线索中的颜色词以目标中占主导地位的颜色呈现。我们的结果表明,高保真度的形状信息对于高效的验证时间很重要(颜色的作用较小),而颜色对于高效的引导很重要,但形状信息也有益于引导。这些结果表明,线索的不同特征独立地对搜索过程的不同方面做出贡献。

https://cdn.ncbi.nlm.nih.gov/pmc/blobs/f85b/11480184/ed050a8852ca/13414_2024_2899_Fig1_HTML.jpg

文献检索

告别复杂PubMed语法,用中文像聊天一样搜索,搜遍4000万医学文献。AI智能推荐,让科研检索更轻松。

立即免费搜索

文件翻译

保留排版,准确专业,支持PDF/Word/PPT等文件格式,支持 12+语言互译。

免费翻译文档

深度研究

AI帮你快速写综述,25分钟生成高质量综述,智能提取关键信息,辅助科研写作。

立即免费体验