Suppr超能文献

高压氧治疗 IC/BPS 通过降低血管内皮生长抑制剂和缺氧诱导因子-1α 的潜在机制。

The potential mechanism of treating IC/BPS with hyperbaric oxygen by reducing vascular endothelial growth inhibitor and hypoxia-inducible factor-1α.

机构信息

Department of Hyperbaric Oxygen, Capital Medical University, Beijing Chao-Yang Hospital, Beijing, China.

Department of Pathology, Fourth Medical Centre of Chinese People's Liberation Army General Hospital, Beijing, China.

出版信息

Turk J Med Sci. 2023 Dec 11;54(1):26-32. doi: 10.55730/1300-0144.5762. eCollection 2024.

Abstract

BACKGROUND/AIM: To investigate the roles of vascular endothelial growth inhibitor (VEGI) and hypoxia-inducible factor-1α (HIF-1α) in the treatment of refractory interstitial cystitis/bladder pain syndrome (IC/BPS) with hyperbaric oxygen (HBO).

MATERIALS AND METHODS

A total of 38 patients were included. They were assessed before and 6 months after HBO treatment. Three-day voiding diaries were recorded, and O'leary-Sant scores, visual analog scale (VAS) scores, quality of life (QoL) scores, pelvic pain, and urgency/frequency (PUF) scores were evaluated. Bladder capacity was assessed by cystoscopy. Bladder mucosa was collected for Western blot, qRT-PCR, and immunofluorescence staining to compare the expression of VEGI and HIF-1α before and after treatment.

RESULTS

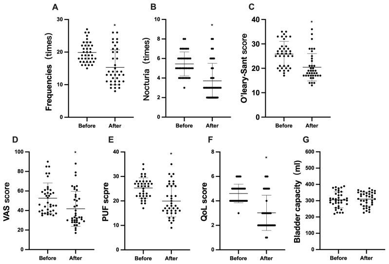
Compared with before treatment, patients showed significant improvements in 24-h voiding frequency (15.32 ± 5.38 times), nocturia (3.71 ± 1.80 times), O'leary-Sant score (20.45 ± 5.62 points), VAS score (41.76 ± 17.88 points), QoL score (3.03 ± 1.44 points), and PUF score (19.95 ± 6.46 points) after treatment (p < 0.05). There was no significant difference in bladder capacity before and after treatment (p ≥ 0.05). The expression levels of VEGI and HIF-1α protein and mRNA were significantly decreased 6 months after treatment compared with before treatment. Immunofluorescence staining results showed that the double positive expression of VEGI and HIF-1α protein in bladder tissue of IC/BPS patients after HBO treatment quantitatively decreased significantly.

CONCLUSION

This study identified a possible mechanism by which VEGI and HIF-1α expression decreased after HBO treatment due to hypoxia reversal, which improved symptoms in IC/BPS patients.

摘要

背景/目的:探讨高压氧(HBO)治疗难治性间质性膀胱炎/膀胱疼痛综合征(IC/BPS)中血管内皮生长抑制因子(VEGI)和缺氧诱导因子-1α(HIF-1α)的作用。

材料和方法

共纳入 38 例患者。患者在 HBO 治疗前和治疗后 6 个月进行评估。记录 3 天排尿日记,并评估 O'leary-Sant 评分、视觉模拟评分(VAS)、生活质量(QoL)评分、骨盆疼痛和急迫/频率(PUF)评分。膀胱容量通过膀胱镜检查评估。通过 Western blot、qRT-PCR 和免疫荧光染色比较治疗前后膀胱黏膜中 VEGI 和 HIF-1α的表达。

结果

与治疗前相比,患者治疗后 24 小时排尿次数(15.32 ± 5.38 次)、夜尿次数(3.71 ± 1.80 次)、O'leary-Sant 评分(20.45 ± 5.62 分)、VAS 评分(41.76 ± 17.88 分)、QoL 评分(3.03 ± 1.44 分)和 PUF 评分(19.95 ± 6.46 分)均显著改善(p < 0.05)。治疗前后膀胱容量无显著差异(p ≥ 0.05)。治疗 6 个月后,VEGI 和 HIF-1α 蛋白和 mRNA 的表达水平明显低于治疗前。免疫荧光染色结果显示,HBO 治疗后 IC/BPS 患者膀胱组织中 VEGI 和 HIF-1α 蛋白的双阳性表达明显减少。

结论

本研究发现,由于缺氧逆转,HBO 治疗后 VEGI 和 HIF-1α 表达降低,可能是改善 IC/BPS 患者症状的机制之一。

https://cdn.ncbi.nlm.nih.gov/pmc/blobs/bf52/11031152/3e46e6d881a3/tjmed-54-01-0026f1.jpg

文献AI研究员

20分钟写一篇综述,助力文献阅读效率提升50倍。

立即体验

用中文搜PubMed

大模型驱动的PubMed中文搜索引擎

马上搜索

文档翻译

学术文献翻译模型,支持多种主流文档格式。

立即体验