Suppr超能文献

体外循环和非体外循环冠状动脉旁路移植术对氧化应激和脑氧合的影响:一项前瞻性观察研究。

The effects of on-pump and off-pump coronary artery bypass surgery on oxidative stress and cerebral oxygenation: a prospective observational study.

机构信息

Department of Anesthesiology and Reanimation, Dr Abdurrahman Yurtaslan Oncology Training and Education Hospital, University of Health Sciences, Ankara, Turkiye.

Department of Cardiovascular Surgery, Faculty of Medicine, Yozgat Bozok University, Yozgat, Turkiye.

出版信息

Turk J Med Sci. 2023 Dec 14;54(1):99-114. doi: 10.55730/1300-0144.5770. eCollection 2024.

Abstract

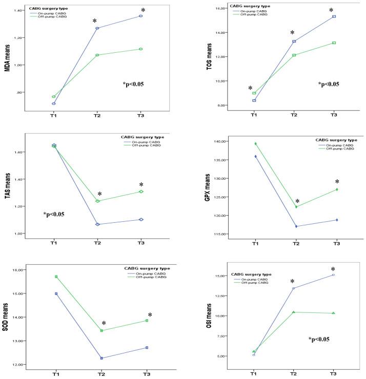
BACKGROUND/AIM: In this prospective observational study, our goal was to investigate the relationship between serum levels of oxidative stress (OS) parameters and regional cerebral oxygen saturation (rSO) in addition to evaluating postoperative clinical outcomes among patients undergoing coronary artery bypass graft surgery (CABG).

MATERIALS AND METHODS

This study comprised 64 adult patients undergoing elective CABG (on-pump [n = 48] and off-pump [n = 16]) procedures. Serum OS levels and rSO values were measured intraoperatively at three specific time points: T1 (after induction), T2 (15 min before aortic cross-clamp removal or the final distal anastomosis), and T3 (15 min after aortic cross-clamp removal or the last distal anastomosis).

RESULTS

Serum OS and lactate values demonstrated higher levels at T2 and T3 (p < 0.001), while rSO values were lower at T2 (p = 0.024) in the on-pump CABG group compared to the off-pump CABG group. The rSO values at T2 exhibited a negative correlation with OS parameters, lactate levels at T2 and T3, aortic clamp time, postoperative mechanical ventilation time, and intensive care unit stay length. In the multivariate linear regression analysis (R2 = 0.181, p = 0.001), lactate values at T2 emerged as the sole factor affecting the OS index at T2 (t = 2.843, p = 0.006).

CONCLUSION

In our study, we observed elevated OS values and relatively low rSO values during on-pump CABG procedures, with rSO showing an association with increased OS parameters. Close monitoring of the OS response level and rSO during CABG could potentially enhance postoperative clinical outcomes.

摘要

背景/目的:在这项前瞻性观察研究中,我们的目标是研究氧化应激(OS)参数的血清水平与冠状动脉旁路移植术(CABG)患者的局部脑氧饱和度(rSO)之间的关系,并评估术后临床结果。

材料和方法

本研究纳入了 64 例行择期 CABG(体外循环[ON-PUMP]和非体外循环[OFF-PUMP])的成年患者。术中在三个特定时间点测量血清 OS 水平和 rSO 值:T1(诱导后)、T2(主动脉阻断前 15 分钟或最后一个远端吻合)和 T3(主动脉阻断后 15 分钟或最后一个远端吻合)。

结果

与 OFF-PUMP CABG 组相比,ON-PUMP CABG 组的血清 OS 和乳酸值在 T2 和 T3 时更高(p < 0.001),而 rSO 值在 T2 时更低(p = 0.024)。T2 时的 rSO 值与 OS 参数、T2 和 T3 时的乳酸水平、主动脉夹闭时间、术后机械通气时间和 ICU 停留时间呈负相关。在多元线性回归分析(R2 = 0.181,p = 0.001)中,T2 时的乳酸值是唯一影响 T2 时 OS 指数的因素(t = 2.843,p = 0.006)。

结论

在我们的研究中,我们观察到 ON-PUMP CABG 过程中 OS 值升高,rSO 值相对较低,rSO 与增加的 OS 参数相关。在 CABG 过程中密切监测 OS 反应水平和 rSO 可能会改善术后临床结果。

https://cdn.ncbi.nlm.nih.gov/pmc/blobs/b5ad/11031167/cad9af4c5743/tjmed-54-01-0099f1.jpg

文献AI研究员

20分钟写一篇综述,助力文献阅读效率提升50倍。

立即体验

用中文搜PubMed

大模型驱动的PubMed中文搜索引擎

马上搜索

文档翻译

学术文献翻译模型,支持多种主流文档格式。

立即体验