Suppr超能文献

抗白细胞介素-1疗法对家族性地中海热患者无发作期亚临床炎症参数的疗效:一项病例对照研究。

The effectiveness of anti-interleukin-1 therapy on subclinical inflammation parameters during the attack-free period in familial Mediterranean fever patients: A case-control study.

作者信息

Atalar Ebru, Doğan İsmail, Gök Kevser, Güven Serdar Can, Maraş Yüksel, Ceylan Gülay Güleç, Erten Sükran

机构信息

Division of Rheumatology, Department of Internal Medicine, Ankara City Hospital, Ankara, Turkey.

Department of Medical Genetics, Ankara City Hospital, Ankara, Turkey.

出版信息

Turk J Med Sci. 2021 Dec 25;52(2):494-504. doi: 10.3906/sag-2106-324. eCollection 2022.

Abstract

BACKGROUND/AIM: Anti IL-1 therapy is useful in suppressing attacks in FMF patients with colchicine resistance, however, it is not certain whether subclinical inflammation can sufficiently be inhibited with anti-IL-1 therapy in FMF patients with amyloidosis.

MATERIALS AND METHODS

Forty-six FMF patients receiving anti-interleukin-1 therapy and 36 healthy control patients were compared in terms of laboratory parameters. Also, FMF patients were further divided into two groups; those with amyloidosis and those without it, and these subgroups were compared to each other in terms of clinical and laboratory findings.

RESULTS

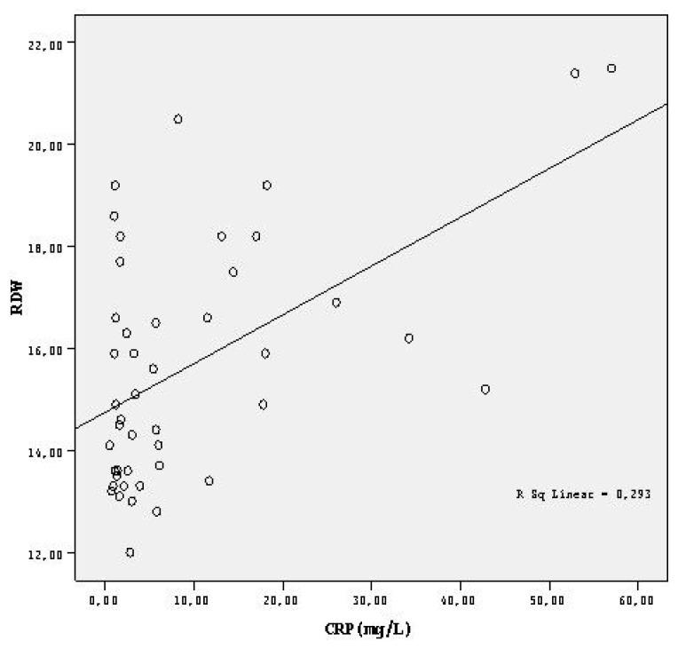
In comparison between the FMF and healthy control groups, erythrocyte sedimentation rate (ESR), C-reactive protein (CRP) level, and red cell distribution width (RDW) level were detected to be higher and hemoglobin level lower in the patient group. Within the FMF patient group, the ESR, CRP, fibrinogen, RDW, and NLR values were significantly higher in the subgroup with amyloidosis in comparison to the subgroup without amyloidosis.

CONCLUSION

Anti-interleukin-1 therapy could not fully suppress the subclinical inflammatory parameters when compared to healthy individuals.

摘要

背景/目的:抗白细胞介素-1治疗对于抑制秋水仙碱耐药的家族性地中海热(FMF)患者的发作有效,然而,对于患有淀粉样变性的FMF患者,抗白细胞介素-1治疗能否充分抑制亚临床炎症尚不确定。

材料与方法

比较了46例接受抗白细胞介素-1治疗的FMF患者和36例健康对照患者的实验室参数。此外,FMF患者进一步分为两组,即患有淀粉样变性的患者和未患淀粉样变性的患者,并比较了这两个亚组的临床和实验室检查结果。

结果

与健康对照组相比,FMF患者组的红细胞沉降率(ESR)、C反应蛋白(CRP)水平和红细胞分布宽度(RDW)水平较高,血红蛋白水平较低。在FMF患者组中,与无淀粉样变性的亚组相比,有淀粉样变性的亚组的ESR、CRP、纤维蛋白原、RDW和中性粒细胞与淋巴细胞比值(NLR)值显著更高。

结论

与健康个体相比,抗白细胞介素-1治疗不能完全抑制亚临床炎症参数。

https://cdn.ncbi.nlm.nih.gov/pmc/blobs/2d33/10381223/9bd68d7f1848/turkjmedsci-52-2-494f1.jpg

文献检索

告别复杂PubMed语法,用中文像聊天一样搜索,搜遍4000万医学文献。AI智能推荐,让科研检索更轻松。

立即免费搜索

文件翻译

保留排版,准确专业,支持PDF/Word/PPT等文件格式,支持 12+语言互译。

免费翻译文档

深度研究

AI帮你快速写综述,25分钟生成高质量综述,智能提取关键信息,辅助科研写作。

立即免费体验