Suppr超能文献

应用简化的动态 F-NaF PET/CT K-Patlak 预测行血液透析的慢性肾脏病(CKD)患者的骨转换。

Bone turnover prediction in patients with chronic kidney disease (CKD) undergoing hemodialysis using shortened dynamic F-NaF PET/CT K-Patlak.

机构信息

Medical Physics Program, Department of Radiology, Faculty of Medicine, Chulalongkorn University, Bangkok, 10330, Thailand.

Chulalongkorn University Biomedical Imaging Group, Department of Radiology, Faculty of Medicine, Chulalongkorn University, Bangkok, 10330, Thailand.

出版信息

Sci Rep. 2024 May 31;14(1):12536. doi: 10.1038/s41598-024-63476-z.

Abstract

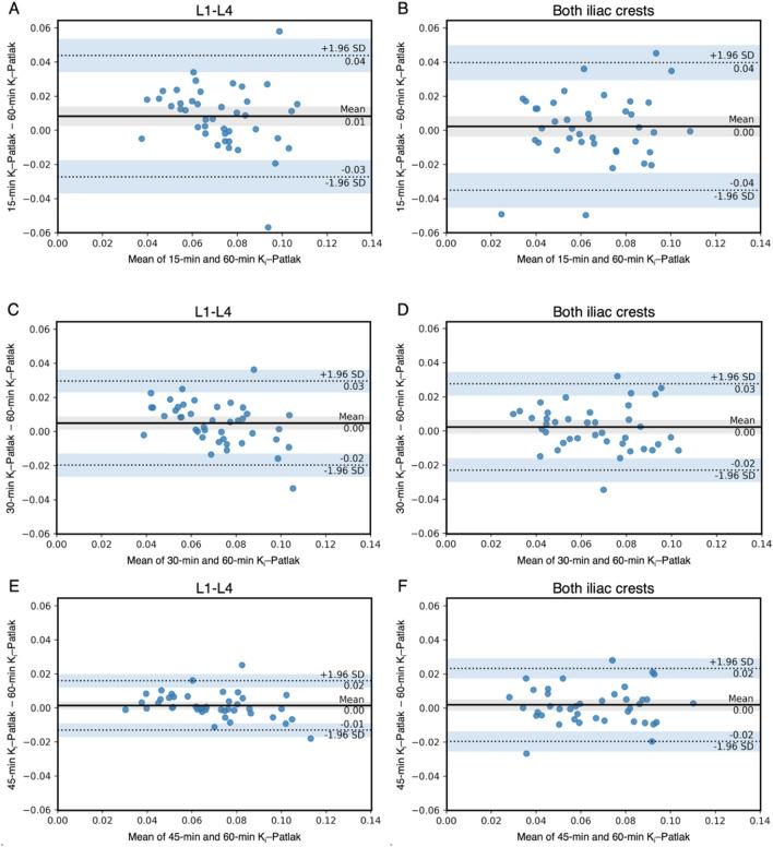
This study investigated whether K-Patlak derived from a shortened scan time for dynamic F-NaF PET/CT in chronic kidney disease (CKD) patients undergoing hemodialysis can provide predictive accuracy comparable to that obtained from a longer scan. Twenty-seven patients on chronic hemodialysis, involving a total of 42 scans between December 2021 and August 2023 were recruited. Dynamic F-NaF PET/CT scans, lasting 60-90 min, were immediately acquired post-injection, covering the mid-twelfth thoracic vertebra to the pelvis region. K-Patlak analysis was performed on bone time-activity curves at 15, 30, 45, 60, and 90 min in the lumbar spine (L1-L4) and both anterior iliac crests. Spearman's rank correlation (r) and interclass correlation coefficient were used to assess the correlation and agreement of K-Patlak between shortened and standard scan times. Bone-specific alkaline phosphatase (BsAP) and tartrate-resistant acid phosphatase isoform 5b (TRAP5b) were tested for their correlation with individual K-Patlak. Strong correlations and good agreement were observed between K-Patlak values from shortened 30-min scans and longer 60-90-min scans in both lumbar spine (r = 0.858, p < 0.001) and anterior iliac crest regions (r = 0.850, p < 0.001). The correlation between BsAP and K-Patlak in the anterior iliac crests was weak and statistically insignificant. This finding suggests that a proposed shortened dynamic F-NaF PET/CT scan is effective in assessing bone metabolic flux in CKD patients undergoing hemodialysis, offering a non-invasive alternative approach for bone turnover prediction.

摘要

这项研究旨在探讨在接受血液透析的慢性肾脏病(CKD)患者中,使用较短的扫描时间获取的 K-Patlak 是否能提供与较长扫描时间相当的预测准确性。本研究共纳入了 27 名慢性血液透析患者,在 2021 年 12 月至 2023 年 8 月期间共进行了 42 次扫描。在注射后立即进行长达 60-90 分钟的动态 F-NaF PET/CT 扫描,扫描范围从第十二胸椎中段到骨盆区域。在腰椎(L1-L4)和双侧髂前上棘处的骨时间-活性曲线中,分别在 15、30、45、60 和 90 分钟时进行 K-Patlak 分析。采用 Spearman 秩相关(r)和组内相关系数评估缩短和标准扫描时间之间 K-Patlak 的相关性和一致性。检测骨特异性碱性磷酸酶(BsAP)和抗酒石酸酸性磷酸酶 5b 同工酶(TRAP5b)与个体 K-Patlak 的相关性。在腰椎(r=0.858,p<0.001)和髂前上棘区域(r=0.850,p<0.001)中,缩短 30 分钟扫描与较长 60-90 分钟扫描的 K-Patlak 值之间存在较强的相关性和良好的一致性。在髂前上棘处,BsAP 与 K-Patlak 之间的相关性较弱且无统计学意义。这一发现表明,拟议的缩短的动态 F-NaF PET/CT 扫描在评估接受血液透析的 CKD 患者的骨代谢通量方面是有效的,为骨转换预测提供了一种非侵入性的替代方法。

https://cdn.ncbi.nlm.nih.gov/pmc/blobs/cfdd/11143219/493320a6edd5/41598_2024_63476_Fig1_HTML.jpg

文献检索

告别复杂PubMed语法,用中文像聊天一样搜索,搜遍4000万医学文献。AI智能推荐,让科研检索更轻松。

立即免费搜索

文件翻译

保留排版,准确专业,支持PDF/Word/PPT等文件格式,支持 12+语言互译。

免费翻译文档

深度研究

AI帮你快速写综述,25分钟生成高质量综述,智能提取关键信息,辅助科研写作。

立即免费体验