• 文献检索
  • 文档翻译
  • 深度研究
  • 学术资讯
  • Suppr Zotero 插件Zotero 插件
  • 邀请有礼
  • 套餐&价格
  • 历史记录
应用&插件
Suppr Zotero 插件Zotero 插件浏览器插件Mac 客户端Windows 客户端微信小程序
定价
高级版会员购买积分包购买API积分包
服务
文献检索文档翻译深度研究API 文档MCP 服务
关于我们
关于 Suppr公司介绍联系我们用户协议隐私条款
关注我们

Suppr 超能文献

核心技术专利:CN118964589B侵权必究
粤ICP备2023148730 号-1Suppr @ 2026

文献检索

告别复杂PubMed语法,用中文像聊天一样搜索,搜遍4000万医学文献。AI智能推荐,让科研检索更轻松。

立即免费搜索

文件翻译

保留排版,准确专业,支持PDF/Word/PPT等文件格式,支持 12+语言互译。

免费翻译文档

深度研究

AI帮你快速写综述,25分钟生成高质量综述,智能提取关键信息,辅助科研写作。

立即免费体验

伊维菌素处理过的蚊帐和喷洒过的墙壁对冈比亚按蚊的杀蚊效果

Mosquitocidal effect of ivermectin-treated nettings and sprayed walls on Anopheles gambiae s.s.

机构信息

Medical Research Council Unit The Gambia at the London School of Hygiene & Tropical Medicine, Banjul, Gambia.

出版信息

Sci Rep. 2024 Jun 1;14(1):12620. doi: 10.1038/s41598-024-63389-x.

DOI:10.1038/s41598-024-63389-x
PMID:38824239
原文链接:https://pmc.ncbi.nlm.nih.gov/articles/PMC11144240/
Abstract

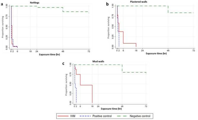
Ivermectin (IVM) has been proposed as a new tool for malaria control as it is toxic on vectors feeding on treated humans or cattle. Nevertheless, IVM may have a direct mosquitocidal effect when applied on bed nets or sprayed walls. The potential for IVM application as a new insecticide for long-lasting insecticidal nets (LLINs) and indoor residual spraying (IRS) was tested in this proof-of-concept study in a laboratory and semi-field environment. Laboratory-reared, insecticide-susceptible Kisumu Anopheles gambiae were exposed to IVM on impregnated netting materials and sprayed plastered- and mud walls using cone bioassays. The results showed a direct mosquitocidal effect of IVM on this mosquito strain as all mosquitoes died by 24 h after exposure to IVM. The effect was slower on the IVM-sprayed walls compared to the treated nettings. Further work to evaluate possibility of IVM as a new insecticide formulation in LLINs and IRS will be required.

摘要

伊维菌素 (IVM) 被提议作为一种新的疟疾控制工具,因为它对吸食经处理的人类或牛的病媒具有毒性。然而,当 IVM 应用于蚊帐或喷涂墙壁时,它可能具有直接的杀蚊效果。本概念验证研究在实验室和半野外环境中测试了 IVM 作为长效杀虫剂(LLIN)和室内滞留喷洒(IRS)的新型杀虫剂的应用潜力。使用锥形生物测定法,将实验室饲养的、对杀虫剂敏感的基苏木冈比亚按蚊暴露于浸渍在网眼材料中的 IVM 上,并暴露于喷涂灰泥和泥墙。结果表明,IVM 对这种蚊子菌株具有直接的杀蚊作用,因为所有蚊子在接触 IVM 后 24 小时内死亡。与处理过的网眼相比,IVM 喷涂墙壁的效果较慢。需要进一步研究以评估 IVM 作为 LLIN 和 IRS 中新型杀虫剂配方的可能性。

https://cdn.ncbi.nlm.nih.gov/pmc/blobs/c9bf/11144240/8bee39a19c96/41598_2024_63389_Fig3_HTML.jpg
https://cdn.ncbi.nlm.nih.gov/pmc/blobs/c9bf/11144240/81c7e5a2639d/41598_2024_63389_Fig1_HTML.jpg
https://cdn.ncbi.nlm.nih.gov/pmc/blobs/c9bf/11144240/b7cf767fe5a7/41598_2024_63389_Fig2_HTML.jpg
https://cdn.ncbi.nlm.nih.gov/pmc/blobs/c9bf/11144240/8bee39a19c96/41598_2024_63389_Fig3_HTML.jpg
https://cdn.ncbi.nlm.nih.gov/pmc/blobs/c9bf/11144240/81c7e5a2639d/41598_2024_63389_Fig1_HTML.jpg
https://cdn.ncbi.nlm.nih.gov/pmc/blobs/c9bf/11144240/b7cf767fe5a7/41598_2024_63389_Fig2_HTML.jpg
https://cdn.ncbi.nlm.nih.gov/pmc/blobs/c9bf/11144240/8bee39a19c96/41598_2024_63389_Fig3_HTML.jpg

相似文献

1
Mosquitocidal effect of ivermectin-treated nettings and sprayed walls on Anopheles gambiae s.s.伊维菌素处理过的蚊帐和喷洒过的墙壁对冈比亚按蚊的杀蚊效果
Sci Rep. 2024 Jun 1;14(1):12620. doi: 10.1038/s41598-024-63389-x.
2
Insecticidal decay effects of long-lasting insecticide nets and indoor residual spraying on Anopheles gambiae and Anopheles arabiensis in Western Kenya.长效杀虫剂蚊帐和室内滞留喷洒对肯尼亚西部冈比亚按蚊和阿拉伯按蚊的杀虫衰减效果
Parasit Vectors. 2015 Nov 14;8:588. doi: 10.1186/s13071-015-1194-6.
3
Implications of bio-efficacy and persistence of insecticides when indoor residual spraying and long-lasting insecticide nets are combined for malaria prevention.当室内残留喷洒和长效杀虫剂蚊帐结合用于预防疟疾时,杀虫剂的生物功效和持久性的影响。
Malar J. 2012 Nov 19;11:378. doi: 10.1186/1475-2875-11-378.
4
Insecticide resistance status of malaria vectors Anopheles gambiae (s.l.) of southwest Burkina Faso and residual efficacy of indoor residual spraying with microencapsulated pirimiphos-methyl insecticide.布基纳法索西南部冈比亚按蚊(复合组)疟疾病媒的杀虫剂抗性状况及微囊化甲基嘧啶磷杀虫剂室内滞留喷洒的残留效果
Parasit Vectors. 2021 Jan 18;14(1):58. doi: 10.1186/s13071-020-04563-8.
5
Aging partially restores the efficacy of malaria vector control in insecticide-resistant populations of Anopheles gambiae s.l. from Burkina Faso.衰老部分恢复了布基纳法索冈比亚按蚊种群对杀虫剂的抗药性的蚊虫控制效果。
Malar J. 2012 Jan 23;11:24. doi: 10.1186/1475-2875-11-24.
6
Comparative field evaluation of combinations of long-lasting insecticide treated nets and indoor residual spraying, relative to either method alone, for malaria prevention in an area where the main vector is Anopheles arabiensis.在主要病媒为阿拉伯按蚊的地区,相对于单独使用长效杀虫剂处理蚊帐或室内滞留喷洒这两种方法中的任何一种,对长效杀虫剂处理蚊帐与室内滞留喷洒相结合用于疟疾预防进行比较实地评估。
Parasit Vectors. 2013 Feb 22;6:46. doi: 10.1186/1756-3305-6-46.
7
Control of pyrethroid and DDT-resistant Anopheles gambiae by application of indoor residual spraying or mosquito nets treated with a long-lasting organophosphate insecticide, chlorpyrifos-methyl.用长效有机磷杀虫剂氯菊酯处理过的室内滞留喷洒或蚊帐控制对拟除虫菊酯和滴滴涕有抗性的疟蚊。
Malar J. 2010 Feb 8;9:44. doi: 10.1186/1475-2875-9-44.
8
The bioefficacy of a novel VECTRON™ T500 indoor residual spray formulation in an experimental huts trial against Anopheles gambiae s.l. populations.新型 VECTRON™ T500 室内滞留喷雾配方在实验性小屋试验中针对冈比亚按蚊种群的生物功效。
Acta Trop. 2024 Nov;259:107376. doi: 10.1016/j.actatropica.2024.107376. Epub 2024 Aug 31.
9
Insecticide susceptibility status of Anopheles gambiae (s.l.) in South-West Cameroon four years after long-lasting insecticidal net mass distribution.在长效驱虫蚊帐大规模分发四年后,喀麦隆西南部冈比亚按蚊(s.l.)的杀虫剂敏感性状况。
Parasit Vectors. 2018 Jul 4;11(1):391. doi: 10.1186/s13071-018-2979-1.
10
Resistance of Anopheles stephensi to selected insecticides used for indoor residual spraying and long-lasting insecticidal nets in Ethiopia.埃塞俄比亚室内滞留喷洒和长效驱虫蚊帐用药中斯氏按蚊的抗药性。
Malar J. 2023 Jul 27;22(1):218. doi: 10.1186/s12936-023-04649-5.

本文引用的文献

1
Survival and Fecundity of Anopheles stephensi and Anopheles albimanus Mosquitoes (Diptera: Culicidae) After Ingesting Bovine Blood Containing Various Veterinary Systemic Parasiticides.经口摄入含不同兽医全身用寄生虫药的牛血后致倦库蚊和白纹伊蚊的存活率和生殖力
J Med Entomol. 2022 Sep 14;59(5):1700-1709. doi: 10.1093/jme/tjac103.
2
Mass drug administration of ivermectin and dihydroartemisinin-piperaquine against malaria in settings with high coverage of standard control interventions: a cluster-randomised controlled trial in The Gambia.在标准控制干预措施覆盖率高的地区,采用伊维菌素和双氢青蒿素哌喹进行大规模药物给药以防治疟疾:冈比亚的一项整群随机对照试验
Lancet Infect Dis. 2022 Apr;22(4):519-528. doi: 10.1016/S1473-3099(21)00557-0. Epub 2021 Dec 15.
3
Effect of wall type, delayed mortality and mosquito age on the residual efficacy of a clothianidin-based indoor residual spray formulation (SumiShield™ 50WG) in southern Mozambique.壁型、迟发性死亡和蚊虫年龄对布基纳索基于氯虫苯甲酰胺的室内滞留喷雾配方(SumiShield™ 50WG)在莫桑比克南部的残留效果的影响。
PLoS One. 2021 Aug 5;16(8):e0248604. doi: 10.1371/journal.pone.0248604. eCollection 2021.
4
The effect of cattle-administered ivermectin and fipronil on the mortality and fecundity of Anopheles arabiensis Patton.阿维菌素和氟虫腈对感染牛的按蚊属埃及伊蚊死亡率和繁殖力的影响。
Parasit Vectors. 2021 Jul 2;14(1):349. doi: 10.1186/s13071-021-04846-8.
5
Ivermectin: An Anthelmintic, an Insecticide, and Much More.伊维菌素:抗蠕虫药、杀虫剂,以及更多。
Trends Parasitol. 2021 Jan;37(1):48-64. doi: 10.1016/j.pt.2020.10.005. Epub 2020 Nov 11.
6
Ivermectin as a novel complementary malaria control tool to reduce incidence and prevalence: a modelling study.伊维菌素作为一种新颖的疟疾控制辅助工具,可降低发病率和患病率:建模研究。
Lancet Infect Dis. 2020 Apr;20(4):498-508. doi: 10.1016/S1473-3099(19)30633-4. Epub 2020 Jan 13.
7
Fipronil and ivermectin treatment of cattle reduced the survival and ovarian development of field-collected Anopheles albimanus in a pilot trial conducted in northern Belize.在伯利兹北部进行的一项试点研究中,用氟虫腈和伊维菌素处理牛可降低野外采集的致倦库蚊的存活率和卵巢发育。
Malar J. 2019 Aug 29;18(1):296. doi: 10.1186/s12936-019-2932-6.
8
A testing cascade to identify repurposed insecticides for next-generation vector control tools: screening a panel of chemistries with novel modes of action against a malaria vector.用于识别下一代病媒控制工具中重新利用的杀虫剂的测试级联:筛选一组具有针对疟疾媒介新作用模式的化学物质。
Gates Open Res. 2019 Jul 10;3:1464. doi: 10.12688/gatesopenres.12957.2. eCollection 2019.
9
Influence of blood meal and age of mosquitoes on susceptibility to pyrethroids in Anopheles gambiae from Western Kenya.肯尼亚西部的血粉和蚊子年龄对冈比亚按蚊对拟除虫菊酯敏感性的影响。
Malar J. 2019 Apr 2;18(1):112. doi: 10.1186/s12936-019-2746-6.
10
Indoor residual spray bio-efficacy and residual activity of a clothianidin-based formulation (SumiShield 50WG) provides long persistence on various wall surfaces for malaria control in the Democratic Republic of the Congo.基于噻虫嗪的配方(SumiShield 50WG)的室内滞留喷雾生物功效和残留活性可为刚果民主共和国的疟疾控制在各种墙壁表面提供长时间的持久性。
Malar J. 2019 Mar 12;18(1):72. doi: 10.1186/s12936-019-2710-5.