Suppr超能文献

在具有重复伯努利试验的大型模型中改进霍斯默-莱梅肖拟合优度检验。

Improving the Hosmer-Lemeshow goodness-of-fit test in large models with replicated Bernoulli trials.

作者信息

Surjanovic Nikola, Loughin Thomas M

机构信息

Department of Statistics, University of British Columbia, Vancouver, British Columbia, Canada.

Department of Statistics and Actuarial Science, Simon Fraser University, Burnaby, British Columbia, Canada.

出版信息

J Appl Stat. 2023 Oct 27;51(7):1399-1411. doi: 10.1080/02664763.2023.2272223. eCollection 2024.

Abstract

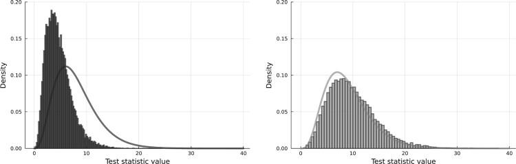
The Hosmer-Lemeshow (HL) test is a commonly used global goodness-of-fit (GOF) test that assesses the quality of the overall fit of a logistic regression model. In this paper, we give results from simulations showing that the type I error rate (and hence power) of the HL test decreases as model complexity grows, provided that the sample size remains fixed and binary replicates (multiple Bernoulli trials) are present in the data. We demonstrate that a generalized version of the HL test (GHL) presented in previous work can offer some protection against this power loss. These results are also supported by application of both the HL and GHL test to a real-life data set. We conclude with a brief discussion explaining the behavior of the HL test, along with some guidance on how to choose between the two tests. In particular, we suggest the GHL test to be used when there are binary replicates or clusters in the covariate space, provided that the sample size is sufficiently large.

摘要

霍斯默-莱梅肖(HL)检验是一种常用的整体拟合优度(GOF)检验,用于评估逻辑回归模型的整体拟合质量。在本文中,我们给出了模拟结果,表明在样本量保持固定且数据中存在二元重复(多个伯努利试验)的情况下,HL检验的I型错误率(以及因此的检验效能)会随着模型复杂度的增加而降低。我们证明,先前工作中提出的HL检验的广义版本(GHL)可以为这种效能损失提供一些保护。HL检验和GHL检验在一个实际数据集上的应用也支持了这些结果。我们最后进行了简要讨论,解释了HL检验的行为,并给出了关于如何在这两种检验之间进行选择的一些指导。特别是,我们建议在协变量空间中存在二元重复或聚类且样本量足够大时使用GHL检验。

https://cdn.ncbi.nlm.nih.gov/pmc/blobs/8cee/11146255/7da8f3bbb3fa/CJAS_A_2272223_F0001_OB.jpg

文献AI研究员

20分钟写一篇综述,助力文献阅读效率提升50倍。

立即体验

用中文搜PubMed

大模型驱动的PubMed中文搜索引擎

马上搜索

文档翻译

学术文献翻译模型,支持多种主流文档格式。

立即体验